

系统工程与电子技术 ›› 2025, Vol. 47 ›› Issue (10): 3257-3269.doi: 10.12305/j.issn.1001-506X.2025.10.13
• 传感器与信号处理 • 上一篇
高飞1,*(
), 席睿达2(
), 邢相薇3(
), 邢妍1(
), 张强2(
), 党红杏1(
)
收稿日期:2024-10-08
出版日期:2025-10-25
发布日期:2025-10-23
通讯作者:
高飞
E-mail:gaofei2004630@163.com;RuidaXi@stu.xidian.edu.cn;xingxiangwei@nudt.edu.cn;1061871653@qq.com;qzhang@xidian.edu.cn;danghongx@163.com
作者简介:席睿达(1999—),男,博士研究生,主要研究方向为多模态图像处理基金资助:
Fei GAO1,*(
), Ruida XI2(
), Xiangwei XING3(
), Yan XING1(
), Qiang ZHANG2(
), Hongxing DANG1(
)
Received:2024-10-08
Online:2025-10-25
Published:2025-10-23
Contact:
Fei GAO
E-mail:gaofei2004630@163.com;RuidaXi@stu.xidian.edu.cn;xingxiangwei@nudt.edu.cn;1061871653@qq.com;qzhang@xidian.edu.cn;danghongx@163.com
摘要:
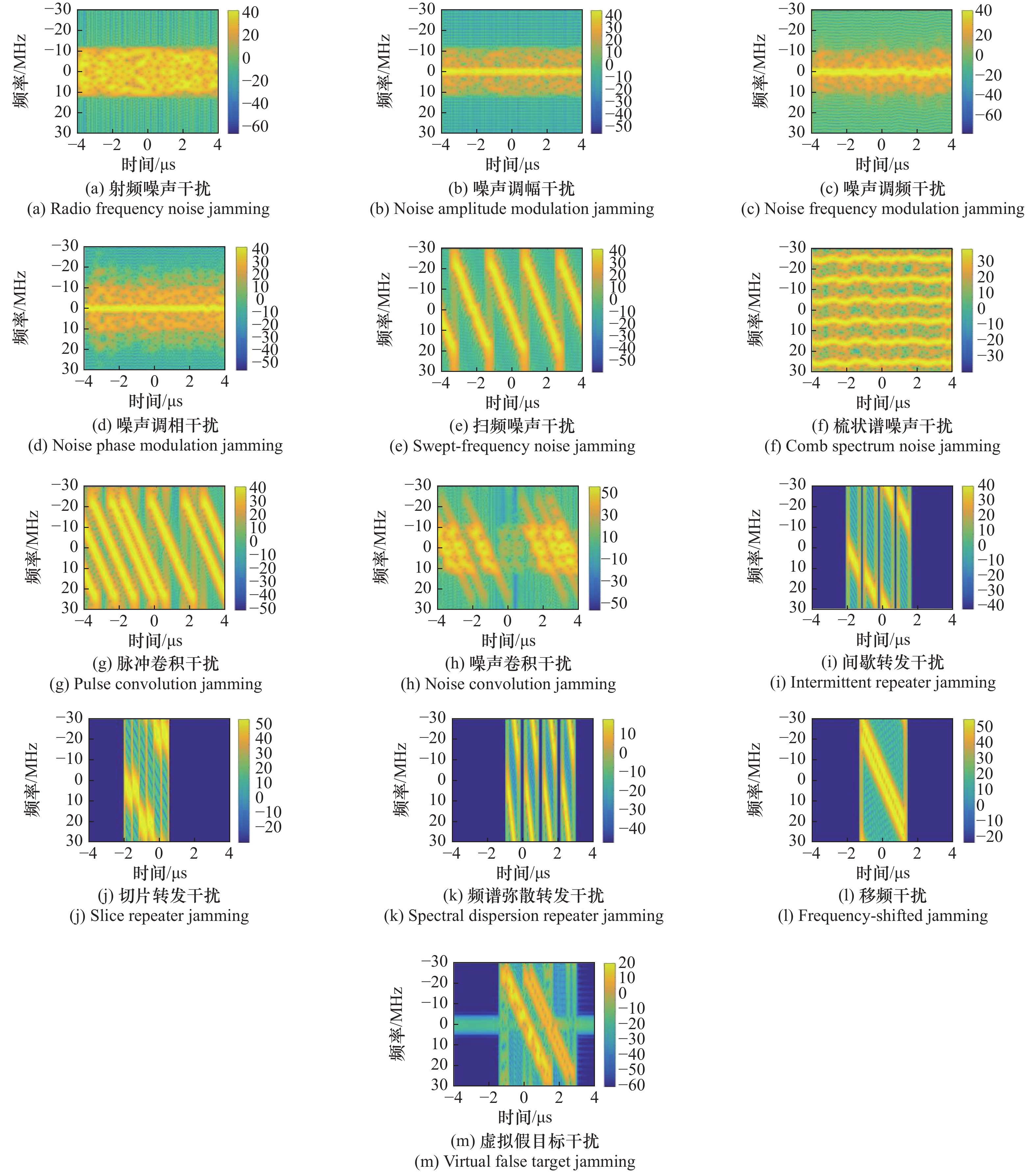
合成孔径雷达(synthetic aperture radar,SAR)图像可提供丰富的场景态势信息,而逐步恶化的电磁环境使得SAR抗干扰技术备受关注。近年来,深度学习技术在图像分类识别方面展现出优越性能。针对用于训练深度模型的有源干扰SAR图像数据需求量大且缺少干扰图像数据集的现状,在对13种典型有源干扰样式及其对SAR干扰特性分析的基础上,从多场景干扰参数覆盖性角度考虑,进行基于仿真的SAR干扰图像数据集构建;搭建基于Transformer的干扰识别模型和多个典型模型,在构建数据集上进行干扰分类识别研究。实验结果表明,由于引入全局自注意力机制的同时结合了可变形注意力机制,所提基于Transformer的干扰识别模型具备更强的干扰特征全局建模能力和干扰区域鉴别能力,在所构建数据集上相对其它模型表现出更为优良的性能。
中图分类号:
高飞, 席睿达, 邢相薇, 邢妍, 张强, 党红杏. SAR有源干扰分类识别图像数据集仿真构建[J]. 系统工程与电子技术, 2025, 47(10): 3257-3269.
Fei GAO, Ruida XI, Xiangwei XING, Yan XING, Qiang ZHANG, Hongxing DANG. Image dataset simulation constructing for SAR active interference classification and recognition[J]. Systems Engineering and Electronics, 2025, 47(10): 3257-3269.
表1
主要干扰参数取值说明"
| 干扰样式 | 干扰参数 | 取值说明 |
| 射频噪声、噪声调幅、噪声调频和噪声调相 | 输入干信比 | |
| 调制噪声带宽 | ||
| 干扰机位置 | 场景中心方位 | |
| 调幅斜率 | ||
| 调频斜率 | ||
| 调相斜率 | ||
| 扫频噪声和梳状谱噪声 | 输入干信比 | |
| 调制噪声带宽 | ||
| 干扰机位置 | 场景中心方位 | |
| 扫频范围 | ||
| 扫频周期 | ||
| 调频斜率 | ||
| 梳状谱噪声信号分量数 | ||
| 梳状谱噪声分量幅度 | ||
| 梳状谱噪声分量基带频点 | ||
| 梳状谱噪声分量调频斜率 | ||
| 脉冲卷积和噪声卷积 | 输入干信比 | |
| 调制噪声带宽 | ||
| 时延个数 | ||
| 幅度 | 1 | |
| 时延 | 场景方位中心 | |
| 噪声时长 | ||
| 间歇转发、切片转发、频谱弥散转发和移频 | 输入干信比 | |
| 干扰机位置 | 场景中心方位 | |
| 间歇转发次数 | ||
| 间歇转发干扰参数 | ||
| 采样转发间歇时间 | ||
| 切片转发分段数 | ||
| 切片转发干扰参数 | ||
| 频谱弥散转发次数 | ||
| 频谱弥散转发间隔时间 | ||
| 移频次数 | ||
| 移频量 | ||
| 虚拟假目标 | 输入干信比 | |
| 干扰机位置 | 场景中心方位 | |
| 虚拟假目标/散射点数 | ||
| 虚拟假目标/散射点位置 | 场景中心方位和距离均在 |
表2
干扰类型识别结果"
| 模型 | 指标 | #1 | #2 | #3 | #4 | #5 | #6 | #7 |
| AlexNet | P | 90.5 | 95.4 | 58.5 | 50.0 | 54.7 | 60.0 | 63.9 |
| R | 69.1 | 85.6 | 71.1 | 68.0 | 66.0 | 43.3 | 73.2 | |
| VGG16 | P | 87.0 | 97.8 | 76.1 | 63.3 | 64.5 | 67.7 | 77.8 |
| R | 89.7 | 89.7 | 72.1 | 76.3 | 71.1 | 47.4 | 93.9 | |
| ResNet18 | P | 88.8 | 91.0 | 73.8 | 65.1 | 73.7 | 67.5 | 90.0 |
| R | 89.7 | 93.9 | 81.4 | 71.1 | 72.2 | 53.6 | 92.8 | |
| ResNet50 | P | 84.0 | 97.8 | 72.3 | 66.3 | 77.0 | 55.2 | 87.3 |
| R | 91.8 | 91.8 | 75.3 | 67.0 | 58.8 | 66.0 | 91.8 | |
| ResNet101 | P | 88.0 | 87.5 | 75.5 | 66.1 | 79.2 | 63.3 | 90.5 |
| R | 90.7 | 93.8 | 76.3 | 74.2 | 62.9 | 63.9 | 88.7 | |
| ViT-B/16 | P | 93.6 | 96.0 | 77.6 | 74.0 | 82.4 | 69.7 | 93.8 |
| R | 90.7 | 96.9 | 85.6 | 76.3 | 72.2 | 71.1 | 92.8 | |
| 本文模型 | P | 97.9 | 97.9 | 76.0 | 80.9 | 81.4 | 73.7 | 93.9 |
| R | 95.9 | 97.9 | 74.8 | 74.2 | 72.2 | 72.2 | 95.9 |
表3
干扰类型识别结果"
| 模型 | 指标 | #8 | #9 | #10 | #11 | #12 | #13 | 平均值 | Acc |
| AlexNet | P | 85.1 | 100.0 | 98.9 | 96.9 | 100.0 | 100.0 | 81.0 | @1: 79.1 |
| R | 76.3 | 90.7 | 87.7 | 96.9 | 100.0 | 100.0 | 79.0 | @5: 96.5 | |
| VGG16 | P | 93.5 | 100.0 | 97.9 | 100.0 | 100.0 | 100.0 | 86.6 | @1: 86.2 |
| R | 88.7 | 98.0 | 95.9 | 98.0 | 100.0 | 100.0 | 86.2 | @5: 99.2 | |
| ResNet18 | P | 91.8 | 100.0 | 100.0 | 97.9 | 100.0 | 100.0 | 87.7 | @1: 87.7 |
| R | 91.2 | 95.9 | 99.0 | 99.0 | 100.0 | 100.0 | 87.7 | @5: 99.5 | |
| ResNet50 | P | 92.7 | 100.0 | 100.0 | 97.9 | 100.0 | 100.0 | 87.0 | @1: 86.4 |
| R | 91.8 | 92.8 | 99.0 | 97.9 | 100.0 | 100.0 | 86.4 | @5: 99.4 | |
| ResNet101 | P | 92.7 | 100.0 | 100.0 | 97.0 | 98.9 | 98.9 | 87.5 | @1: 87.4 |
| R | 91.8 | 96.9 | 97.9 | 98.9 | 100.0 | 100.0 | 87.4 | @5: 99.6 | |
| ViT-B/16 | P | 92.9 | 99.0 | 100.0 | 99.0 | 100.0 | 100.0 | 90.6 | @1: 90.5 |
| R | 94.9 | 98.9 | 98.9 | 98.9 | 100.0 | 98.9 | 90.5 | @5: 99.7 | |
| 本文模型 | P | 96.8 | 100.0 | 100.0 | 100.0 | 100.0 | 100.0 | 92.2 | @1: 92.1 |
| R | 73.8 | 100.0 | 100.0 | 100.0 | 100.0 | 100.0 | 92.1 | @5: 100.0 |
| 1 |
张庆君, 韩晓磊, 刘杰. 星载合成孔径雷达遥感技术进展及发展趋势[J]. 航天器工程, 2017, 26 (6): 1- 8.
doi: 10.3969/j.issn.1673-8748.2017.06.001 |
|
ZHANG Q J, HAN X L, LIU J. Technology progress and development trend of spaceborne synthetic aperture radar remote sensing[J]. Spacecraft Engineering, 2017, 26 (6): 1- 8.
doi: 10.3969/j.issn.1673-8748.2017.06.001 |
|
| 2 |
李亚超, 王家东, 张廷豪, 等. 弹载雷达成像技术发展现状与趋势[J]. 雷达学报, 2022, 11 (6): 943- 973.
doi: 10.12000/JR22119 |
|
LI Y C, WANG J D, ZHANG T H, et al. Present situation and prospect of missile-borne radar imaging technology[J]. Journal of Radar, 2022, 11 (6): 943- 973.
doi: 10.12000/JR22119 |
|
| 3 |
张健丰, 付耀文, 张文鹏, 等. 圆迹合成孔径雷达成像技术综述[J]. 系统工程与电子技术, 2020, 42 (12): 2716- 2734.
doi: 10.3969/j.issn.1001-506X.2020.12.07 |
|
ZHANG J F, FU Y W, ZHANG W P, et al. Review of CSAR imaging techniques[J]. Systems Engineering and Electronics, 2020, 42 (12): 2716- 2734.
doi: 10.3969/j.issn.1001-506X.2020.12.07 |
|
| 4 |
XU G, GAO Y D, LI J W, et al. InSAR phase denoising: a review of current technologies and future directions[J]. IEEE Geoscience and Remote Sensing Magazine, 2020, 8 (2): 64- 82.
doi: 10.1109/MGRS.2019.2955120 |
| 5 |
WANG G Y, ZHANG M, HUANG Y, et al. Robust two-dimensional spatial-variant map-drift algorithm for UAV SAR autofocusing[J]. Remote Sensing, 2019, 11 (3): 340.
doi: 10.3390/rs11030340 |
| 6 |
CHEN Z Y, ZHOU Y, ZHANG L R, et al. Ground moving target imaging and analysis for near-space hypersonic vehicle-borne synthetic aperture radar system with squint angle[J]. Remote Sensing, 2018, 10 (12): 1966.
doi: 10.3390/rs10121966 |
| 7 |
HUANG Y, LIAO G S, XU J W, et al. GMTI and parameter estimation for MIMO SAR system via fast interferometry RPCA method[J]. IEEE Trans. on Geoscience and Remote Sensing, 2018, 56 (3): 1774- 1787.
doi: 10.1109/TGRS.2017.2768243 |
| 8 | 李洋. 星载SAR弹射式干扰与抗干扰技术研究[D]. 成都: 电子科技大学, 2017. |
| LI Y. Research on technology of rebound jamming and anti-jamming to spaceborne SAR[D]. Chengdu: University of Electronic Science and Technology of China, 2017. | |
| 9 | 潘嵩. SAR欺骗式干扰关键技术研究[D]. 成都: 电子科技大学, 2016. |
| PAN S. Research on SAR deception jamming key technology[D]. Chengdu: University of Electronic Science and Technology of China, 2016. | |
| 10 | 林晓烘. 星载合成孔径雷达干扰与抗干扰技术研究[D]. 长沙: 国防科技大学, 2014. |
| LIN X H. Study on jamming and anti-jamming techniques for spaceborne synthetic aperture radar[D]. Changsha: National University of Defense Technology, 2014. | |
| 11 | 汪日超. 星载SAR压制式干扰与抗干扰技术研究[D]. 成都: 电子科技大学, 2017. |
| WANG R C. Research on spaceborne SAR compression interference and anti-jamming technology[D]. Chengdu: University of Electronic Science and Technology of China, 2017. | |
| 12 | 齐兆龙. SAR散射式欺骗干扰及其对抗技术研究[D]. 秦皇岛: 燕山大学, 2016. |
| QI Z L. Research on SAR scattering deception jamming and its countermeasure technology[D]. Qinhuangdao: Yanshan University, 2016. | |
| 13 | 黄榜. 基于频控阵的星载SAR干扰技术研究[D]. 成都: 电子科技大学, 2020. |
| HUANG B. The jamming research against spaceborne SAR using FDA[D]. Chengdu: University of Electronic Science and Technology of China, 2020. | |
| 14 | 赵明明. 基于SAR目标特征的欺骗式干扰技术研究[D]. 成都: 电子科技大学, 2019. |
| ZHAO M M. Research on deceptive jamming technology based on SAR target characteristics[D]. Chengdu: University of Electronic Science and Technology of China, 2019. | |
| 15 | 刘立新. 对波形捷变SAR和GMTI时频交叉乘积欺骗干扰方法研究[D]. 长沙: 国防科技大学, 2019. |
| LIU L X. Study on time-frequency cross-product deceptive interference method of waveform agile SAR and GMTI[D]. Changsha: National University of Defense Technology, 2019. | |
| 16 | 王梦科. SAR精细欺骗式干扰技术研[D]. 成都: 电子科技大学, 2020. |
| WANG M K. Research on fine deceptive jamming technology of SAR[D]. Chengdu: University of Electronic Science and Technology of China, 2020. | |
| 17 |
纪朋徽, 代大海, 吴昊, 等. SAR成像电子对抗技术综述[J]. 无线电工程, 2019, 49 (6): 508- 513.
doi: 10.3969/j.issn.1003-3106.2019.06.012 |
|
JI P H, DAI D H, WU H, et al. Review of SAR imaging electronic countermeasures[J]. Radio Engineering, 2019, 49 (6): 508- 513.
doi: 10.3969/j.issn.1003-3106.2019.06.012 |
|
| 18 | 荣鹏帅. SAR射频干扰抑制方法[D]. 西安: 西安电子科技大学, 2019. |
| RONG P S. Radio frequency interference mitigation for SAR[D]. Xi’an: Xidian University, 2019. | |
| 19 |
MEYER F J, NICOLL J B, DOULGERIS A P. Correction and characterization of radio frequency interference signatures in L-band synthetic aperture radar data[J]. IEEE Trans. on Geoscience and Remote Sensing, 2013, 51 (10): 4961- 4972.
doi: 10.1109/TGRS.2013.2252469 |
| 20 | BOLLIAN T, YOUNIS M, KRIEGER G. On-ground interference removal from SAR images with DBF-based measurements and autoregressive modelling[C]//Proc. of the 13th European Conference on Synthetic Aperture Radar, 2021: 1200−1204. |
| 21 | HUANG Y, LIU Y Y, GUAN X Y, et al. A novel space-time interference mitigation algorithm on multichannel SAR systems[J]. IEEE Trans. on Geoscience and Remote Sensing, 2023, 61, 5220316. |
| 22 | MAO Y, HUANG Y, YU X T, et al. An radio frequency interference mitigation approach for spaceborne SAR system in low SINR condition[J]. IEEE Trans. on Geoscience and Remote Sensing, 2023, 61, 5217414. |
| 23 | SHARMA G, BAZIL RAJ A A. Low complexity interference mitigation technique in IRCI-free SAR imaging algorithms[J]. IEEE Geoscience and Remote Sensing Letters, 2022, 19, 4511305. |
| 24 | LV Z S, FAN H T, CHEN Z, et al. Mitigate the LFM-PRFI in SAR data: joint down-range and cross-range filtering[J]. IEEE Trans. on Geoscience and Remote Sensing, 2023, 61, 5205918. |
| 25 | DING Y, DU J B, FAN W W, et al. RFI extraction for synthetic aperture radar in 2D domain based on low rank and sparsity property[C]//Proc. of the CIE International Conference on Radar, 2021: 1940−1944. |
| 26 | LI N, LV Z S, GUO Z W, et al. Time-domain notch filtering method for pulse RFI mitigation in synthetic aperture radar[J]. IEEE Geoscience and Remote Sensing Letters, 2022, 19, 4013805. |
| 27 | ZHANG H, HUANG Y, LI J, et al. Time-varying RFI mitigation for SAR systems via graph Laplacian clustering techniques[J]. IEEE Geoscience and Remote Sensing Letters, 2022, 19, 4010805. |
| 28 |
REIGBER A, FERRO-FAMIL L. Interference suppression in synthesized SAR images[J]. IEEE Geoscience and Remote Sensing Letters, 2005, 2 (1): 45- 49.
doi: 10.1109/LGRS.2004.838419 |
| 29 | DOERRY A W. Apodized RFI filtering of synthetic aperture radar images[R]. Albuquerque: Sandia National Laboratories, 2014. |
| 30 |
NATSUAKI R, MOTOHKA T, WATANABE M, et al. An autocorrelation-based radio frequency interference detection and removal method in azimuth-frequency domain for SAR image[J]. IEEE Journal of Selected Topics in Applied Earth Observations and Remote Sensing, 2017, 10 (12): 5736- 5751.
doi: 10.1109/JSTARS.2017.2775205 |
| 31 | 刘建洋. 基于时频域分析的电子干扰识别方法研究[D]. 成都: 电子科技大学, 2018. |
| LIU J Y. Research on electronic jamming identification method based on time frequency domain analysis[D]. Chengdu: University of Electronic Science and Technology of China, 2018. | |
| 32 | 姜正云, 舒汀, 何劲, 等. 基于并联深度学习网络的雷达有源干扰智能识别方法[J]. 现代雷达, 2021, 43 (10): 9- 14. |
| JIANG Z Y, SHU T, HE J, et al. Intelligent recognition method of radar active jamming based on parallel deep learning network[J]. Modern Radar, 2021, 43 (10): 9- 14. | |
| 33 | 杨兴宇, 阮怀林. 基于栈式稀疏自编码器的新型干扰识别[J]. 现代雷达, 2018, 40 (5): 21- 27. |
| YANG X Y, RUAN H L. Jamming identification algorithms of advanced jamming based on stacked sparse autoencoder[J]. Modern Radar, 2018, 40 (5): 21- 27. | |
| 34 | 任锴. 基于深度学习的压制式干扰环境下SAR目标识别方法研究[D]. 成都: 电子科技大学, 2019. |
| REN K. Research on target recognition and classification of SAR image in suppressive jamming environment based on deep learning[D]. Chengdu: University of Electronic Science and Technology of China, 2019. | |
| 35 | LI J S, TAO M L, ZHANG X, et al. A semantic cognition enhancment network for interference detection in Sentinel-1 SAR image[C]//Proc. of the CIE International Conference on Radar, 2021: 1923−1926. |
| 36 | NIE L, WEI S J, ZHANG H, et al. HPII-NET: a high-precision interference identification network for spaceborne SAR images[C]//Proc. of the IEEE International Geoscience and Remote Sensing Symposium, 2023: 7030−7033. |
| 37 | FAN W W, ZHOU F, RONG P S, et al. Interference mitigation for synthetic aperture radar using deep learning[C]//Proc. of the 6th Asia-Pacific Conference on Synthetic Aperture Radar, 2019. |
| 38 | ZHANG Z D, DING Y, FAN W W, et al. Wide-band interference mitigation for SAR based on generative adversarial network[C]//Proc. of the CIE International Conference on Radar, 2021: 1891−1900. |
| 39 | CEN X, LI Y C, HAN Z Y, et al. Self-supervised learning method for SAR multiinterference suppression[J]. IEEE Trans. on Geoscience and Remote Sensing, 2023, 61, 5220017. |
| 40 |
陈思伟, 崔兴超, 李铭典, 等. 基于深度CNN模型的SAR图像有源干扰类型识别方法[J]. 雷达学报, 2022, 11 (5): 897- 908.
doi: 10.12000/JR22143 |
|
CHEN S W, CUI X C, LI M D, et al. SAR image active jamming type recognition based on deep CNN model[J]. Journal of Radars, 2022, 11 (5): 897- 908.
doi: 10.12000/JR22143 |
|
| 41 | 刘强. 基于深度学习的雷达干扰识别技术[D]. 成都: 电子科技大学, 2020. |
| LIU Q. Radar interference recognition based on deep learning[D]. Chengdu: University of Electronic Science and Technology of China, 2020. | |
| 42 | 鲍秋香. 频率随机捷变雷达抗扫频干扰性能仿真[J]. 舰船电子对抗, 2021, 44 (5): 78- 81. |
| BAO Q X. Simulation of anti-sweep jamming performance of frequency random agility radar[J]. Shipboard Electronic Countermeasure, 2021, 44 (5): 78- 81. | |
| 43 | 吴雪松. 抗灵巧干扰雷达波形设计[D]. 成都: 电子科技大学, 2016. |
| WU X S. Design of radar waveforms for anti smart jamming[D]. Chengdu: University of Electronic Science and Technology of China, 2016. | |
| 44 |
黄洪旭, 黄知涛, 周一宇. 对合成孔径雷达的移频干扰研究[J]. 宇航学报, 2006, 27 (3): 463- 468.
doi: 10.3321/j.issn:1000-1328.2006.03.027 |
|
HUANG H X, HUANG Z T, ZHOU Y Y. A study on the shift-frequency jamming to SAR[J]. Journal of Astronautics, 2006, 27 (3): 463- 468.
doi: 10.3321/j.issn:1000-1328.2006.03.027 |
|
| 45 | 赵博. 合成孔径雷达欺骗干扰方法研究[D]. 西安: 西安电子科技大学, 2015. |
| ZHAO B. Study on methods of synthetic aperture radar deception jamming[D]. Xi’an: Xidian University, 2015. | |
| 46 | XIA Z F, PAN X R, SONG S J, et al. Vision transformer with deformable attention[C]//Proc. of the IEEE/CVF Conference on Computer Vision and Pattern Recognition, 2022: 4784−4793. |
| 47 |
KRIZHEVSKY A, SUTSKEVER I, HINTON G E. ImageNet classification with deep convolutional neural networks[J]. Communications of the ACM, 2017, 60 (6): 84- 90.
doi: 10.1145/3065386 |
| 48 | SIMONYAN K, ZISSERMAN A. Very deep convolutional networks for large-scale image recognition[C]//Proc. of the 3rd International Conference on Learning Representations, 2015. |
| 49 | HE K M, ZHANG X Y, REN S Q, et al. Deep residual learning for image recognition[C]//Proc. of the IEEE Conference on Computer Vision and Pattern Recognition, 2016: 770−778. |
| 50 | DOSOVITSKIY A, BEYER L, KOLESNIKOV A, et al. An image is worth 16x16 words: transformers for image recognition at scale[C]//Proc. of the 8th International Conference on Learning Representations, 2020. |
| [1] | 李开明, 张袁鹏, 罗迎, 代肖楠. 弹道导弹雷达目标识别研究进展[J]. 系统工程与电子技术, 2025, 47(9): 2870-2889. |
| [2] | 季策, 马相宇, 牟晓宇, 赵家毅. TS-GRU-VTA:基于深度学习的车辆信道估计方案[J]. 系统工程与电子技术, 2025, 47(9): 3093-3098. |
| [3] | 岳旭龙, 王罗胜斌, 徐振海. 极化单脉冲导引头角反质心干扰检测方法[J]. 系统工程与电子技术, 2025, 47(8): 2486-2497. |
| [4] | 付卫红, 彭文洪, 刘乃安. 混合注意力优化的SAR图像小目标检测方法[J]. 系统工程与电子技术, 2025, 47(8): 2519-2526. |
| [5] | 薄钧天, 王万田, 李亚星, 张雲硕, 王衡峰, 张嘉毫, 孟进. 波形编码抗主瓣干扰方法带宽限制分析及优化[J]. 系统工程与电子技术, 2025, 47(8): 2540-2548. |
| [6] | 闫小伟, 凌冲, 石胜斌. 地表未爆子弹药快速检测系统设计与实现[J]. 系统工程与电子技术, 2025, 47(8): 2639-2645. |
| [7] | 张晓璐, 陈亚洲, 赵敏. 无人机数据链带内电磁干扰效应预测模型与验证[J]. 系统工程与电子技术, 2025, 47(8): 2763-2773. |
| [8] | 陶荣华, 周春, 张宝强, 于振涛, 乔荷, 刘聪. 基于OBF反变换的航空磁探测数据中方波干扰的剔除方法[J]. 系统工程与电子技术, 2025, 47(7): 2110-2118. |
| [9] | 龙志涛, 程志君, 封琛. 基于耦合约束满足的雷达抗干扰试验样本空间特征分析[J]. 系统工程与电子技术, 2025, 47(7): 2136-2145. |
| [10] | 董乔龙, 刘思琪, 张伟见, 张劲东. LFM-DPC抗间歇采样转发干扰波形集设计算法[J]. 系统工程与电子技术, 2025, 47(7): 2154-2164. |
| [11] | 周凯, 李超, 李坤, 崔新风, 姚辉伟, 陈冬冬. 抗移频间歇采样转发干扰波形与非匹配滤波器设计方法[J]. 系统工程与电子技术, 2025, 47(7): 2194-2204. |
| [12] | 巴晓辉, 温雯霏, 蔡伯根, 王剑, 姜维, 柴琳果. GNSS信号的线性调频干扰抑制方法[J]. 系统工程与电子技术, 2025, 47(7): 2339-2348. |
| [13] | 侯文君, 彭闯, 金虎, 雷迎科. 基于改进CRITIC-GAHP的通信干扰效果在线评估方法[J]. 系统工程与电子技术, 2025, 47(7): 2389-2398. |
| [14] | 张琬滢, 高由兵, 李泽一, 李鹏飞, 张伟. 基于双路径特征融合网络的背景信号抑制算法[J]. 系统工程与电子技术, 2025, 47(7): 2406-2413. |
| [15] | 张鹏程, 彭勃, 房明星. 一种基于调制序列相关特性的干扰方法分析[J]. 系统工程与电子技术, 2025, 47(6): 1729-1738. |
| 阅读次数 | ||||||
|
全文 |
|
|||||
|
摘要 |
|
|||||