

系统工程与电子技术 ›› 2025, Vol. 47 ›› Issue (10): 3492-3503.doi: 10.12305/j.issn.1001-506X.2025.10.32
• 通信与网络 • 上一篇
收稿日期:2024-10-29
出版日期:2025-10-25
发布日期:2025-10-23
通讯作者:
李汀
E-mail:zhangchunjiekk@163.com;liushanglong00@163.com
作者简介:张春洁(1998—),女,工程师,硕士,主要研究方向为OAM-MIMO无线通信基金资助:
Ting LI, Chunjie ZHANG(
), Shanglong LIU(
), Peizhong XIE
Received:2024-10-29
Online:2025-10-25
Published:2025-10-23
Contact:
Ting LI
E-mail:zhangchunjiekk@163.com;liushanglong00@163.com
摘要:
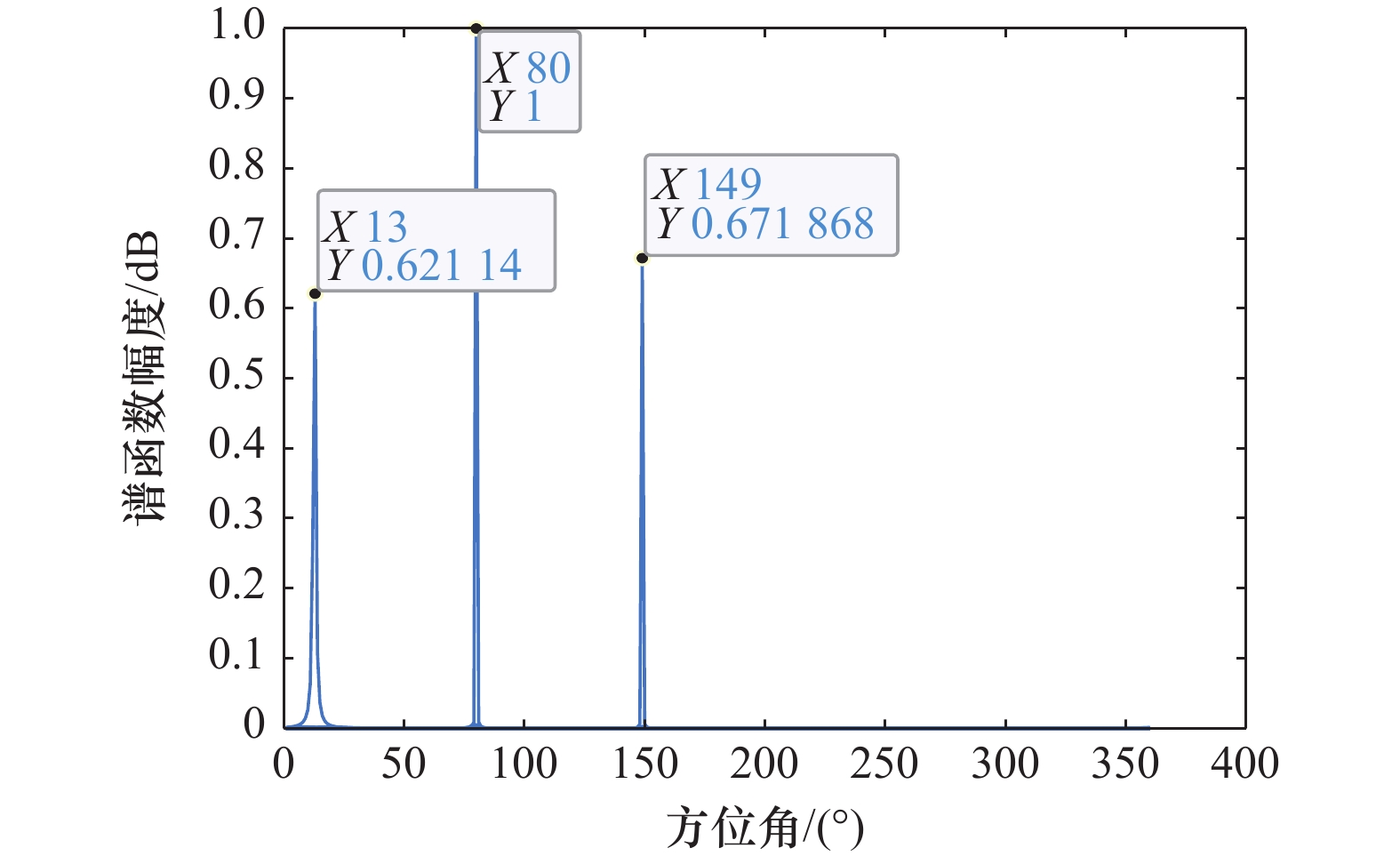
聚焦轨道角动量(orbital angular momentum,OAM)技术在无线通信中的应用,针对收发端均匀圆形天线(uniform circular antenna, UCA)阵列未对准的多径通信场景,提出OAM域与空间域联合的信道估计方案。由于收发端UCA难以严格对齐且 OAM波束易产生多径效应,方案分两阶段进行信道估计。第一阶段在OAM域估计直达径参数,应用旋转不变技术信号参数估计算法得到直达径信道;第二阶段在空间域估计散射径参数,通过混合信号与直达径信号相减得到散射信号,利用逆离散傅里叶变换和多信号分类算法估计角度参数完成信道估计。仿真结果表明,该方案能准确估计直达径和散射径参数,均方误差曲线性能良好,为OAM技术在无线通信中的应用提供有效方案。
中图分类号:
李汀, 张春洁, 刘尚龙, 解培中. UCA-OAM通信系统下的联合域信道估计[J]. 系统工程与电子技术, 2025, 47(10): 3492-3503.
Ting LI, Chunjie ZHANG, Shanglong LIU, Peizhong XIE. Joint domain channel estimation in UCA-OAM communication system[J]. Systems Engineering and Electronics, 2025, 47(10): 3492-3503.
| 1 | 王健, 王仲阳, 刘劲峰, 等. 基于涡旋电磁波的无线通信技术(特邀)[J]. 激光与光电子学进展, 2024, 61 (7): 11- 37. |
| WANG J, WANG Z Y, LIU J F, et al. Wireless communication technology based on vortex electromagnetic waves (invited)[J]. Progress in Laser and Optoelectronics, 2024, 61 (7): 11- 37. | |
| 2 | ZHANG H, CAO Z Y, XIE H Y, et al. Orbital angular momentum (OAM) in wireless communication: applications and challenges towards 6G[C]//Proc. of the 14th International Conference on Information and Communication Technology Convergence , 2023: 842−847. |
| 3 |
NOOR S K, YASIN M N M, ISMAIL A M, et al. A review of orbital angular momentum vortex waves for the next generation wireless communications[J]. IEEE Access, 2022, 10, 89465- 89484.
doi: 10.1109/ACCESS.2022.3197653 |
| 4 | CHENG WC, ZHANG W, JING H Y, et al. Orbital angular momentum for wireless communications[J]. IEEE Wireless Communications, 2018, 26 (1): 100- 107. |
| 5 | THIDE B, TAMBURINI F, THEN H, et al. The physics of angular momentum radio [C]//Proc. of the 1st URSI Atlantic Radio Science Conference, 2015. |
| 6 | BANSAL A, WHITTOW W G. Orbital angular momentum beam antenna systems for wireless communications–a brief review[C]//Proc. of the 9th International Conference on Signal Processing and Communication, 2023: 125−128. |
| 7 | YUAN Y Q, ZHANG Z Y, CANG J, et al. Capacity analysis of UCA-based oam multiplexing communication system[C]//Proc. of the International Conference on Wireless Communications & Signal Processing, 2015. |
| 8 | JING H, CHENG W, XIA X G, et al. Orbital-angular-momentum versus MIMO: orthogonality, degree of freedom, and capacity[C]//Proc. of the IEEE 29th Annual International Symposium on Personal, Indoor and Mobile Radio Communications, 2018. |
| 9 | MOHAMMADI S M, DALDORFF L K S, BERGMAN J E S, et al. Orbital angular momentum in radio—a system study[J]. IEEE Trans. on Antennas and Propagation, 2009, 58 (2): 565- 572. |
| 10 | JIN H Y, CHENG W C, JING H Y, et al. Achieving high capacity transmission with N-dimensional quasi-fractal UCA[EB/OL]. [2024−09−29]. https://arxiv.org/abs/2406.05667. |
| 11 | YAN W X, GAO Y, LONG X, et al. New orbital angular momentum multiplexing strategy: beyond the capacity limit of free-space optical communication[EB/OL]. [2024−09−29]. https://arxiv. org/abs/2305.12208. |
| 12 |
TAMBURINI F, THIDE B, MARI E, et al. Reply to comment on ‘encoding many channels on the same frequency through radio vorticity: first experimental test’[J]. New Journal of Physics, 2012, 14 (11): 118002.
doi: 10.1088/1367-2630/14/11/118002 |
| 13 |
MAHMOULI F E, WALKER S D. 4-Gbps uncompressed video transmission over a 60-GHz orbital angular momentum wireless channel[J]. IEEE Wireless Communications Letters, 2013, 2 (2): 223- 226.
doi: 10.1109/WCL.2013.012513.120686 |
| 14 |
赵林军, 张海林, 刘乃安. 涡旋电磁波无线通信技术的研究进展[J]. 电子与信息学报, 2021, 43 (11): 3075- 3085.
doi: 10.11999/JEIT200899 |
|
ZHAO L J, ZHANG H L, LIU N A. Research progress on wireless communication technology based on vortex electromagnetic waves[J]. Journal of Electronics & Information Technology, 2021, 43 (11): 3075- 3085.
doi: 10.11999/JEIT200899 |
|
| 15 |
TIAN Z J, CHEN R, LONG W X, et al. Broadband beam steering for misaligned multi-mode OAM communication systems[J]. Journal of Systems Engineering and Electronics, 2021, 32 (4): 779- 788.
doi: 10.23919/JSEE.2021.000067 |
| 16 | PONTE S, FARINA A, TIMMONERI L. Orbital angular momentum (OAM) waves for microwave remote sensing: potentialities and applications[C]//Proc. of the IEEE 10th International Workshop on Metrology for AeroSpace , 2023: 407−412. |
| 17 | GUO G R, HU W D, DU X Y. electromagnetic vortex based radar target imaging[J]. Journal of National University of Defense Technology, 2013, 35 (6): 71- 76. |
| 18 |
孙学宏, 李强, 庞丹旭, 等. 轨道角动量在无线通信中的研究新进展综述[J]. 电子学报, 2015, 43 (11): 2305- 2314.
doi: 10.3969/j.issn.0372-2112.2015.11.025 |
|
SUN X H, LI Q, PANG D X, et al. Recent advances in research on orbital angular momentum in wireless communication: a review[J]. Acta Electronica Sinica, 2015, 43 (11): 2305- 2314.
doi: 10.3969/j.issn.0372-2112.2015.11.025 |
|
| 19 |
ZHENG S L, HUI X N, JIN X F, et al. Transmission characteristics of a twisted radio wave based on circular traveling-wave antenna[J]. IEEE Trans. on Antennas and Propagation, 2015, 63 (4): 1530- 1536.
doi: 10.1109/TAP.2015.2393885 |
| 20 |
OPARE K A, KUANG Y, KPONYO J J. Mode combination in an ideal wireless OAM-MIMO multiplexing system[J]. IEEE Wireless Communications Letters, 2015, 4 (4): 449- 452.
doi: 10.1109/LWC.2015.2434375 |
| 21 | CHEN R, XU H, LI J D, et al. Misalignment-robust receiving scheme for UCA-based OAM communication systems[C]//Proc. of the IEEE 85th Vehicular Technology Conference , 2017. |
| 22 |
CHEN R, XU H, MORETTI M, et al. Beam steering for the misalignment in UCA-based OAM communication systems[J]. IEEE Wireless Communications Letters, 2018, 7 (4): 582- 585.
doi: 10.1109/LWC.2018.2797931 |
| 23 | HUI Y, WANG W N. The scattering characteristics of vortex radio-frequency waves for wireless communication[C]//Proc. of the Journal of Physics: Conference Series, 2021. |
| 24 |
廖希, 何昌文, 王洋, 等. 室内走廊环境毫米波 OAM 信道特性分析与统计建模[J]. 电子与信息学报, 2022, 44 (12): 4194- 4203.
doi: 10.11999/JEIT211145 |
|
LIAO X, HE C W, WANG Y, et al. Analysis and statistical modeling of millimeter-wave OAM channel characteristics in indoor corridor environments[J]. Journal of Electronics & Information Technology, 2022, 44 (12): 4194- 4203.
doi: 10.11999/JEIT211145 |
|
| 25 |
LIANG L P, CHENG W C, ZHANG W, et al. Joint OAM-mode division multiplexing and OFDM in not-rich multipath environments[J]. IEEE Trans. on Vehicular Technology, 2020, 69 (4): 3864- 3878.
doi: 10.1109/TVT.2020.2966787 |
| 26 | ZHOU J T, CHENG W C, LIANG L P. OAM transmission in sparse multipath environments with fading[C]//Proc. of the IEEE International Conference on Communications, 2020. |
| 27 | WANG Y, ZHANG Z J, LIAO X, et al. Propagation measurement and channel characteristics of small office OAM communication at 30 GHz[J]. IEEE Antennas and Wireless Propagation Letters, 2022, 22 (4): 839- 843. |
| 28 | JI W X, WANG C X, HUANG J, et al. A novel beam domain channel model for orbital angular momentum communication systems with massive uniform circular array[C]//Proc. of the IEEE 97th Vehicular Technology Conference, 2023. |
| 29 | 杨航, 郑史烈, 张红旗, 等. 太赫兹轨道角动量通信关键技术与挑战[J]. 移动通信, 2023, 47 (5): 20- 25. |
| YANG H, ZHENG S L, ZHANG H Q, et al. Key technologies and challenges of terahertz orbital angular momentum communication[J]. Mobile Communications, 2023, 47 (5): 20- 25. | |
| 30 |
王洋, 修艳磊, 胡韬, 等. 基于相位补偿的非理想无线轨道角动量复用通信系统研究[J]. 电子与信息学报, 2022, 44 (9): 3212- 3219.
doi: 10.11999/JEIT210626 |
|
WANG Y, XIU Y L, HU T, et al. Research on non-ideal wireless orbital angular momentum multiplexing communication system based on phase compensation[J]. Journal of Electronics & Information Technology, 2022, 44 (9): 3212- 3219.
doi: 10.11999/JEIT210626 |
|
| 31 | KAMIYA N, SASAKI E. A simple closed-loop method for compensating the impact of antenna misalignment in UCA-based OAM-MIMO systems[C]//Proc. of the IEEE International Conference on Communications Workshops, 2023. |
| 32 | SASAKI H, YAGI Y, KUDO R, Lee D. 1.58 Tbps OAM multiplexing wireless transmission with wideband butler matrix for sub-THz band[J]. IEEE Journal on Selected Areas in Communications, 2024, 42(6): 1613−1625. |
| 33 | KLEMES M, HU L, BOWLES G, et al. Self-healing effects in OAM beams observed on a 28 GHz experimental link[J]. IEEE Access, 2024, 12, 53871- 53880. |
| 34 | KOU N, YU S X, LI L. Generation of high-order bessel vortex beam carrying orbital angular momentum using multilayer amplitude-phase-modulated surfaces in radiofrequency domain[J]. Applied Physics Express, 2016, 10 (1): 016701. |
| 35 |
王鼎, 吴瑛. 基于均匀圆阵的二维 ESPRIT 算法研究[J]. 通信学报, 2006, 27 (9): 89- 95.
doi: 10.3321/j.issn:1000-436X.2006.09.015 |
|
WANG D, WU Y. Research on two-dimensional ESPRIT algorithm based on uniform circular array[J]. Journal of Communications, 2006, 27 (9): 89- 95.
doi: 10.3321/j.issn:1000-436X.2006.09.015 |
|
| 36 | 尤国红, 邱天爽, 夏楠, 等. 基于均匀圆阵的扩展循环 MUSIC 算法[J]. 通信学报, 2014, 35 (2): 9- 15. |
| YOU G H, QIU T S, XIA N, et al. Extended cyclic MUSIC algorithm based on uniform circular array[J]. Journal of Communications, 2014, 35 (2): 9- 15. | |
| 37 | YANG B, WANG C, SHEN H X. Beamspace MUSIC Algorithm Based on Space-time Array Signal Model[C]//Proc. of the Journal of Physics: Conference Series, 2019. |
| 38 |
晏辉, 司伟建. 基于均匀圆阵相干信源的二维DOA估计[J]. 雷达科学与技术, 2022, 20 (4): 464- 469.
doi: 10.3969/j.issn.1672-2337.2022.04.016 |
|
YAN H, SI W J. Two-dimensional DOA estimation based on coherent sources with uniform circular array[J]. Radar Science and Technology, 2022, 20 (4): 464- 469.
doi: 10.3969/j.issn.1672-2337.2022.04.016 |
| [1] | 季策, 马相宇, 牟晓宇, 赵家毅. TS-GRU-VTA:基于深度学习的车辆信道估计方案[J]. 系统工程与电子技术, 2025, 47(9): 3093-3098. |
| [2] | 高波, 傅友华, 刘陈. 太赫兹超大规模MIMO混合场信道估计[J]. 系统工程与电子技术, 2025, 47(8): 2744-2752. |
| [3] | 谭钢, 鄢社锋, 毛琳琳, 杨基睿. 稀疏贝叶斯学习水声OFDM系统信道与脉冲噪声联合估计[J]. 系统工程与电子技术, 2025, 47(10): 3482-3491. |
| [4] | 莫名秀, 袁磊, 雷妍, 袁花花. 不完美硬件实现对下行NOMA短包通信的影响[J]. 系统工程与电子技术, 2025, 47(1): 296-306. |
| [5] | 邵永琪, 杨丽花, 常澳, 任露露. RIS辅助的OFDM系统中时变信道估计方法[J]. 系统工程与电子技术, 2025, 47(1): 324-331. |
| [6] | 谭钢, 鄢社锋, 叶子豪, 杨基睿. OFDM系统迭代脉冲噪声抑制与信道估计方法[J]. 系统工程与电子技术, 2024, 46(8): 2841-2849. |
| [7] | 刘刚, 李雨航, 杨庆鑫, 郭漪. 基于压缩感知的智能反射面信道估计[J]. 系统工程与电子技术, 2024, 46(7): 2490-2497. |
| [8] | 杨丽花, 任露露, 呼博, 邵永琪, 聂倩. 基于元学习的时变信道估计方法[J]. 系统工程与电子技术, 2023, 45(6): 1872-1879. |
| [9] | 季策, 田博彦, 耿蓉, 李伯群. 基于VSCBOMP算法的FBMC/OQAM系统信道估计[J]. 系统工程与电子技术, 2023, 45(4): 1193-1199. |
| [10] | 季策, 宋博翰, 耿蓉, 梁敏骏. 快时变信道下基于深度学习的OFDM系统信道估计[J]. 系统工程与电子技术, 2023, 45(11): 3649-3655. |
| [11] | 扶钰斌, 马晓川, 李璇, 孙博昊, 陈筱月, 裴兴园. 复杂水下环境中的Dual-HFM速度谱优化[J]. 系统工程与电子技术, 2023, 45(10): 2999-3007. |
| [12] | 党建, 李业伟, 朱永东, 郭荣斌, 张在琛, 吴亮. 可重构智能表面通信系统的渐进信道估计方法[J]. 系统工程与电子技术, 2022, 44(3): 998-1006. |
| [13] | 吴灏, 康颖, 葛松虎, 李亚星, 孟进. VHF/UHF通信电台接收链路中的干扰抑制合并方法[J]. 系统工程与电子技术, 2022, 44(3): 1014-1021. |
| [14] | 刘步花, 丁丹, 杨柳, 薛乃阳, 刘仲谦. 基于DNN的无人机数据OFDM传输技术[J]. 系统工程与电子技术, 2022, 44(2): 696-702. |
| [15] | 齐永磊, 陈西宏, 袁迪喆. SC-FDE系统中基于UW的联合信道估计均衡算法[J]. 系统工程与电子技术, 2022, 44(10): 3258-3265. |
| 阅读次数 | ||||||
|
全文 |
|
|||||
|
摘要 |
|
|||||