系统工程与电子技术 ›› 2026, Vol. 48 ›› Issue (3): 1000-1009.doi: 10.12305/j.issn.1001-506X.2026.03.24

• 制导、导航与控制 • 上一篇    

超精密轴向定位平台力特性分析及自抗扰控制

孟祥瑞1, 王常虹1,*, 马广程1, 夏红伟1, 钟佳朋1, 崔总泽2   

  1. 1. 哈尔滨工业大学空间控制与惯性技术研究中心,黑龙江 哈尔滨 150001
    2. 哈尔滨工业大学电磁与电子技术研究所,黑龙江 哈尔滨 150001
  • 收稿日期:2025-03-17 出版日期:2026-03-25 发布日期:2026-04-13
  • 通讯作者: 王常虹
  • 作者简介:孟祥瑞(1989—),男,博士研究生,主要研究方向为洛伦兹力电机和磁轴承设计、超精密运动控制
    马广程(1972—),男,教授,博士,主要研究方向为航天器地面仿真、运动控制
    夏红伟(1979—),男,教授,博士,主要研究方向为控制理论及控制方法
    钟佳朋(1986—),男,高级工程师,博士,主要研究方向为超精密运动台控制
    崔总泽(1983—),男,工程师,博士,主要研究方向为电机设计、电机控制

Force characteristics analysis and active disturbance rejection control of ultra-precision axial positioning platform

Xiangrui MENG1, Changhong WANG1,*, Guangcheng MA1, Hongwei XIA1, Jiapeng ZHONG1, Zongze CUI2   

  1. 1. Space Control and Inertial Technology Research Center, Harbin Institute of Technology,Harbin 150001, China
    2. Institute of Electromagnetic and Electronic Technology,Harbin Institute of Technology, Harbin 150001, China
  • Received:2025-03-17 Online:2026-03-25 Published:2026-04-13
  • Contact: Changhong WANG

摘要:

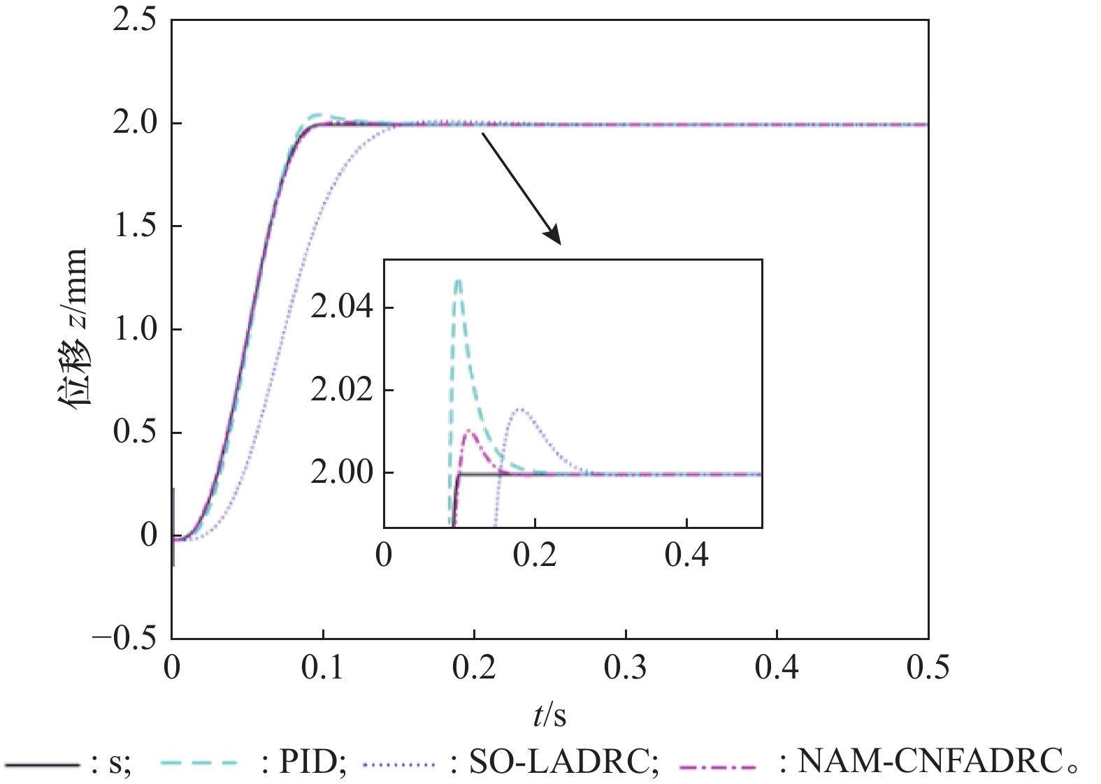
针对微重力环境下空间光学载荷地面测试对超精密轴向定位平台(ultra-precision axial positioning platform,UAPP)提出的短行程、高精度、高动态响应、强抗干扰等要求,提出一种将驱动/支撑构型与高性能控制算法有机集成的UAPP方案。采用三维有限元方法深入研究四象限永磁体阵列洛伦兹力电机和非等宽Halbach阵列磁轴承随位移变化的力和刚度特性,为建立准确动力学模型及性能分析奠定基础。同时,提出基于名义辅助模型的复合非线性反馈自抗扰控制(composite nonlinear feedback active disturbance rejection control based on a nominal auxiliary model,NAM-CNFADRC)算法。仿真和实验结果均表明,与比例-积分-微分和经典二阶线性自抗扰控制算法相比,NAM-CNFADRC在跟踪精度、最大超调量、调节时间以及扰动抑制方面均表现出显著优势。

关键词: 洛伦兹力电机, 磁轴承, 超精密轴向定位平台, 力特性分析, 自抗扰控制

Abstract:

To address the requirements of short stroke, high precision, high dynamic response, and strong disturbance rejection for ultra-precision axial positioning platforms (UAPP) in micro-gravity space optical payload ground testing environment, a UAPP scheme that organically integrates a actuator/bearing configuration and a high-performance control algorithm is proposed. The three-dimensional finite element method is used to deeply investigate the force and stiffness characteristics of the four-quadrant permanent magnet array Lorentz force motor and unequal width Halbach array magnetic bearing as they vary with displacement, laying the foundation for establishing an accurate dynamic model and performance analysis. A composite nonlinear feedback active disturbance rejection control based on a nominal auxiliary model (NAM-CNFADRC) algorithm is proposed. Both simulation and experimental results demonstrate that, compared to proportion-integration-differentiation and classic second-order linear active disturbance rejection control algorithms, NAM-CNFADRC exhibits significant advantages in tracking accuracy, maximum overshoot, settling time, and disturbance rejection.

Key words: Lorentz force motor, magnetic bearing, ultra-precision axial positioning platform (UAPP), force characteristics analysis, active disturbance rejection control (ADRC)

中图分类号: