

系统工程与电子技术 ›› 2025, Vol. 47 ›› Issue (12): 4101-4109.doi: 10.12305/j.issn.1001-506X.2025.12.12
• 传感器与信号处理 • 上一篇
尹子明, 郭鹏程, 王晶晶, 高思哲
收稿日期:2024-08-28
修回日期:2024-11-14
出版日期:2025-03-12
发布日期:2025-03-12
通讯作者:
郭鹏程
作者简介:尹子明(1999—),男,硕士研究生,主要研究方向为雷达抗干扰基金资助:Ziming YIN, Pengcheng GUO, Jingjing WANG, Sizhe GAO
Received:2024-08-28
Revised:2024-11-14
Online:2025-03-12
Published:2025-03-12
Contact:
Pengcheng GUO
摘要:
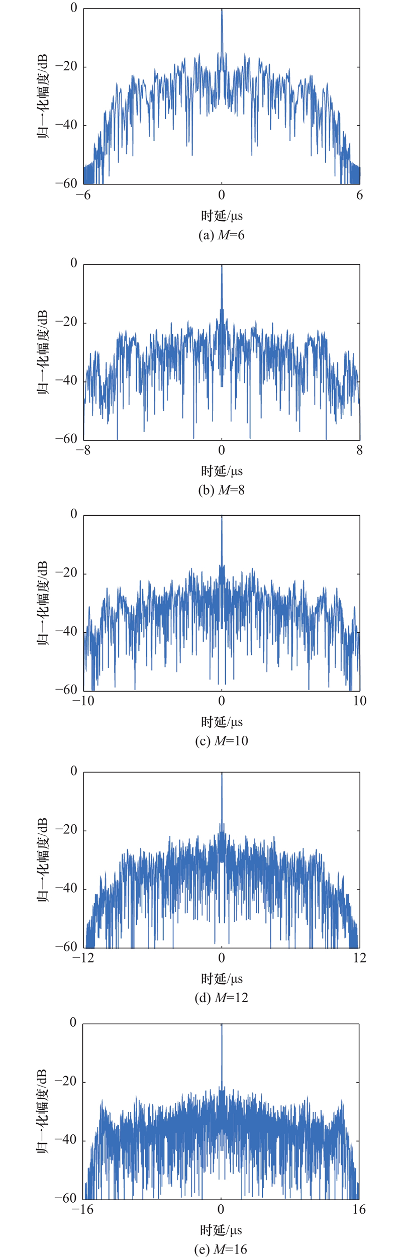
现有脉内复合调制波形存在调制方式简单、自相关旁瓣电平高的不足,致使发射波形在应用中易被截获且对弱目标检测性能较差。针对上述问题,在线性调频(linear frequency modulation, LFM)-Costas雷达波形中引入二相编码(binary phase shift keying, BPSK),设计了LFM-Costas-BPSK 波形。一方面,降低了子脉冲间的相关性从而有效抑制了自相关旁瓣电平;另一方面,提高了波形复杂度,因而降低了被截获概率。仿真实验分析了关键参数对波形性能的影响,验证了所设计的LFM-Costas-BPSK波形的有效性。
中图分类号:
尹子明, 郭鹏程, 王晶晶, 高思哲. 基于LFM-Costas-BPSK脉内复合调制的低截获雷达波形设计[J]. 系统工程与电子技术, 2025, 47(12): 4101-4109.
Ziming YIN, Pengcheng GUO, Jingjing WANG, Sizhe GAO. Design of low intercept radar waveform based on LFM-Costas-BPSK intra-pulse hybrid modulation[J]. Systems Engineering and Electronics, 2025, 47(12): 4101-4109.
| 1 | 全英汇, 方文, 沙明辉, 等. 频率捷变雷达波形对抗技术现状与展望[J]. 系统工程与电子技术, 2021, 43 (11): 3126- 3136. |
| QUAN Y H, FANG W, SHA M H, et al. Present situation and prospects of frequency agility radar waveform counter-measures[J]. Systems Engineering and Electronics, 2021, 43 (11): 3126- 3136. | |
| 2 |
GAO Y H, FAN H Y, REN L X, et al. Joint design of waveform and mismatched filter for interrupted sampling repeater jamming suppression[J]. IEEE Trans. on Aerospace and Electronic Systems, 2023, 59 (6): 8037- 8050.
doi: 10.1109/TAES.2023.3299437 |
| 3 |
JIANG W K, LI Y, LIAO M M, et al. An improved LPI radar waveform recognition framework with LDC-Unet and SSR-Loss[J]. IEEE Signal Processing Letters, 2022, 29, 149- 153.
doi: 10.1109/LSP.2021.3130797 |
| 4 |
LIU X Y, YUAN Y, ZHANG T X, et al. LPI radar signal design resistant to identification by ESM systems[J]. IEEE Trans. on Aerospace and Electronic Systems, 2023, 59 (6): 9233- 9246.
doi: 10.1109/TAES.2023.3316630 |
| 5 | GALATI G, PAVAN G. Measuring the anti-intercept features of noise radar waveforms: the way ahead[C]//Proc. of the IEEE 9th International Workshop on Metrology for Aerospaces, 2022: 174−178. |
| 6 |
LIU X Y, ZHANG T X, SHI Q, et al. LPI radar waveform design with desired cyclic spectrum and pulse compression properties[J]. IEEE Trans. on Vehicular Technology, 2023, 72 (5): 6789- 6793.
doi: 10.1109/TVT.2022.3233446 |
| 7 | HEINO M, MARIN J, KAI H, et al. Theoretical and experimental analysis of the supposed stealthiness of noise radar[C]//Proc. of the IEEE Radar Conference, 2023. |
| 8 | ZHOU X X, CHEN J, WANG F. Integrated waveform design of radar and communication systems for the single transmitter multiple receivers system[C]//Proc. of the 14th International Conference on Signal Processing Systems, 2023. |
| 9 | 郝志梅, 孙进平, 罗美方. 基于复合频率编码的低截获概率波形簇设计[J]. 系统工程与电子技术, 2021, 43 (11): 3137- 3143. |
| HAO Z M, SUN J P, LUO M F. Waveform cluster design of low probability of intercept based on compound frequency coding[J]. Systems Engineering and Electronics, 2021, 43 (11): 3137- 3143. | |
| 10 | 谭贤四, 武文, 孙合敏, 等. 频率编码脉冲信号性能分析[J]. 系统工程与电子技术, 2001, 23 (5): 102- 105. |
| TAN S X, WU W, SUN H M, et al. Performance analysis of frequency coding pulse signals[J]. Systems Engineering and Electronics, 2001, 23 (5): 102- 105. | |
| 11 | ZHOU C Y, WU Z H, CAO Y, et al. A novel unsupervised anti-intermittent sampling jamming method for intra-pulse and inter-pulse frequency agile radar[C]//Proc. of the Institution of Engineering and Technology International Radar Conference, 2023. |
| 12 | 董淑仙, 全英汇, 沙明辉, 等. 捷变频雷达联合脉内频率编码抗间歇采样干扰[J]. 系统工程与电子技术, 2022, 44 (11): 3371- 3379. |
| DONG S X, QUAN Y H, SHA M H, et al. Frequency agile radar combined with intra-pulse frequency coding to resist intermittent sampling jamming[J]. Systems Engineering and Electronics, 2022, 44 (11): 3371- 3379. | |
| 13 | LUO S, LI C M, WANG L C, et al. Research on waveform design of multi-carrier phase coded and frequency modulation signal[C]//Proc. of the CIE International Conference on Radars, 2021: 1858−1861. |
| 14 | TANG Z J, BAO Q L, PAN J M, et al. Radar waveform design based on time-bandwidth random modulation LFM signals[C]//Proc. of the IEEE 22nd International Conference on Communication Technology, 2022: 1031−1037. |
| 15 | LUO S, LI C M, WANG L C, et al. Research on waveform design of multi-carrier phase coded and frequency modulation signal[C]//Proc. of the CIE International Conference on Radar, 2021: 1858−1861. |
| 16 |
SU H N, BAO Q L, PAN J M, et al. Waveform-domain complementary signal sets for interrupted sampling repeater jamming suppression[J]. IEEE Trans. on Aerospace and Electronic Systems, 2024, 60 (5): 7142- 7158.
doi: 10.1109/TAES.2024.3410952 |
| 17 | TANG Z J, BAO Q L, PAN J M, et al. A random modulation radar waveform design based on NLFM signals[C]//Proc. of the IEEE 8th International Conference on Computer and Communications, 2022: 204−209. |
| 18 | HOU K, REN W, CHANG S, et al. Design of orthogonal discrete frequency coding waveforms via improved genetic algorithm[C]//Proc. of the Institution of Engineering and Technology International Radar Conference, 2020: 868−873. |
| 19 | HUANG Z J, GUO R, ZHENG Z D. OFD-LFM based waveform design with low autocorrelation sidelobes for MIMO radars[C]//Proc. of the 6th International Conference on Electronics Technology, 2023: 1408−1412. |
| 20 |
HSIN C L, KIANG J F. Frequency-hopping frequency-diverse MIMO radar for target detection and localization under false-target jamming[J]. IEEE Access, 2023, 11, 62121- 62139.
doi: 10.1109/ACCESS.2023.3287588 |
| 21 |
FENG X, WU L L, ZHAO Y N, et al. Recurrent waveform optimization for desired range-Doppler profile with low probability of interception: a particle filter approach[J]. IEEE Trans. on Aerospace and Electronic Systems, 2024, 60 (2): 1899- 1911.
doi: 10.1109/TAES.2023.3345825 |
| 22 |
KUMAR M, CHANDRASEKAR V. Intrapulse polyphase coding system for second trip suppression in a weather radar[J]. IEEE Trans. on Geoscience and Remote Sensing, 2020, 58 (6): 3841- 3853.
doi: 10.1109/TGRS.2019.2958602 |
| 23 |
LI Y Z, HU W D, FAN H Q, et al. Phase-coded sequence design for local shaping of complete second-order correlation[J]. IEEE Signal Processing Letters, 2024, 31, 571- 575.
doi: 10.1109/LSP.2024.3359575 |
| 24 | KUMBUL U, PETROV N, VAUCHER C S, et al. Sensing performance of different codes for phase-coded FMCW radars[C]//Proc. of the 19th European Radar Conference, 2022. |
| 25 | LI C Y, WU G X, LI G. A shared waveform design for integrated detection and jamming signal based on LFM-Costas intra-pulse frequency stepping[C]//Proc. of the 7th International Conference on Communication, Image and Signal Processing, 2022: 347−354. |
| 26 | JIA J W, HAN Z Z, LIU L M. Review on low intercept radar signal design technology[C]//Proc. of the IEEE 4th International Conference on Power, Intelligent Computing and Systems, 2022: 434−437. |
| 27 | ZHU P J, QIU H, MENG W J, et al. Encrypted waveform design for low-probability of intercept radar[C]//Proc. of the 9th International Conference on Signal and Image Processing, 2024: 89−93. |
| 28 | QIU H, YU X X, CUI G L, et al. Wideband LPI radar subpulse waveform design, processing and analysis[J]. IEEE Trans. on Aerospace and Electronic Systems, 2024, 61 (1): 416- 432. |
| 29 | 侯小林, 羊彦, 高健健, 等. 雷达低截获概率信号及验证方法[J]. 西安电子科技大学学报, 2012, 39 (4): 184- 190. |
| HOU X L, YANG Y, GAO J J, et al. Methods for testing the low probability of interception performance of radar signals[J]. Journal of Xidian University, 2012, 39 (4): 184- 190. | |
| 30 |
ZHANG Z W, ZHU M T, LI Y J, et al. JDMR-Net: joint detection and modulation recognition networks for LPI radar signals[J]. IEEE Trans. on Aerospace and Electronic Systems, 2023, 59 (6): 7575- 7589.
doi: 10.1109/TAES.2023.3293074 |
| 31 | CHEN K Y, WANG L P, ZHANG J Y, et al. Semantic learning for analysis of overlapping LPI radar signals[J]. IEEE Trans. on Instrumentation and Measurement, 2023, 72, 8501615. |
| 32 |
WANG X T, LUO Z Y. Efficient TFI-based depth-tunable LPI radar waveform recognition network[J]. IEEE Signal Processing Letters, 2023, 30, 713- 717.
doi: 10.1109/LSP.2023.3284659 |
| 33 | 王霞, 何松华, 欧建平, 等. 用循环自相关法分析和比较雷达信号的截获性能[J]. 信号处理, 2015, 31 (3): 328- 335. |
| WANG X, HE S H, OU J P, et al. The LPI performance analysis and comparison of radar signals by cyclic autocorrelation method[J]. Journal of Signal Processing, 2015, 31 (3): 328- 335. |
| [1] | 田晨, 管洋阳, 戴春亮, 毛宇. 单发多收协同雷达低截获概率探测的接收机队列设计[J]. 系统工程与电子技术, 2025, 47(7): 2176-2184. |
| [2] | 王海英, 张群英, 成文海, 董家铭, 刘小军. LPI雷达信号调制识别及参数估计研究进展[J]. 系统工程与电子技术, 2024, 46(6): 1908-1924. |
| [3] | 宁晓燕, 李书凯, 王震铎, 赵东旭. 时变参数下信息映射LPI通信波形[J]. 系统工程与电子技术, 2023, 45(5): 1526-1534. |
| [4] | 韩啸, 陈世文, 陈蒙, 杨锦程. 基于互易点学习的LPI信号开集识别[J]. 系统工程与电子技术, 2022, 44(9): 2752-2759. |
| [5] | 徐桂光, 王旭东, 汪飞, 胡国兵, 高涌荇, 罗泽虎. 基于SE-ResNeXt网络的低信噪比LPI雷达辐射源信号识别[J]. 系统工程与电子技术, 2022, 44(12): 3676-3684. |
| [6] | 时晨光, 董璟, 周建江, 汪飞. 飞行器射频隐身技术研究综述[J]. 系统工程与电子技术, 2021, 43(6): 1452-1467. |
| [7] | 赵帅, 刘松涛, 汪慧阳. 基于PSO-CNN的LPI雷达波形识别算法[J]. 系统工程与电子技术, 2021, 43(12): 3552-3563. |
| [8] | 郝志梅, 孙进平, 罗美方. 基于复合频率编码的低截获概率波形簇设计[J]. 系统工程与电子技术, 2021, 43(11): 3137-3143. |
| [9] | 戴定成, 姚敏立, 金伟, 张峰干. 稀布同心圆环阵列的优化设计[J]. 系统工程与电子技术, 2018, 40(4): 739-745. |
| [10] | 符颖, 王星, 周一鹏, 范翔宇. 基于改进半监督朴素贝叶斯的LPI雷达信号识别[J]. 系统工程与电子技术, 2017, 39(11): 2463-2469. |
| [11] | 黄中瑞, 牛朝阳, 张剑云. 基于序列锥规划的MIMO雷达正交连续相位编码波形设计[J]. 系统工程与电子技术, 2015, 37(9): 2000-2009. |
| [12] | 曾维贵, 孙迎丰, 胥辉旗, 潘莉莉. 准连续波体制雷达波形设计与参数选择[J]. Journal of Systems Engineering and Electronics, 2013, 35(3): 517-521. |
| [13] | 张曙,李亮. 零点约束的有向阵元圆阵方向图最优综合[J]. Journal of Systems Engineering and Electronics, 2012, 34(12): 2418-2422. |
| [14] | 廖俊, 于雷, 俞利新, 罗寰. 基于LPI的相控阵雷达辐射控制方法[J]. Journal of Systems Engineering and Electronics, 2011, 33(12): 2638-2642. |
| [15] | 胡亮兵,刘宏伟,吴顺君. 基于约束非线性规划的MIMO雷达正交波形设计[J]. Journal of Systems Engineering and Electronics, 2011, 33(1): 64-0068. |
| 阅读次数 | ||||||
|
全文 |
|
|||||
|
摘要 |
|
|||||