

系统工程与电子技术 ›› 2021, Vol. 43 ›› Issue (12): 3552-3563.doi: 10.12305/j.issn.1001-506X.2021.12.17
赵帅, 刘松涛*, 汪慧阳
收稿日期:2021-02-02
出版日期:2021-11-24
发布日期:2021-11-30
通讯作者:
刘松涛
作者简介:赵帅 (1997—), 男, 硕士研究生, 主要研究方向为电子对抗技术及应用|刘松涛 (1978—), 男, 副教授, 博士后, 主要研究方向为电子对抗、图像处理及光电工程|汪慧阳 (1997—), 男, 硕士研究生, 主要研究方向为电子对抗技术及应用
Shuai ZHAO, Songtao LIU*, Huiyang WANG
Received:2021-02-02
Online:2021-11-24
Published:2021-11-30
Contact:
Songtao LIU
摘要:
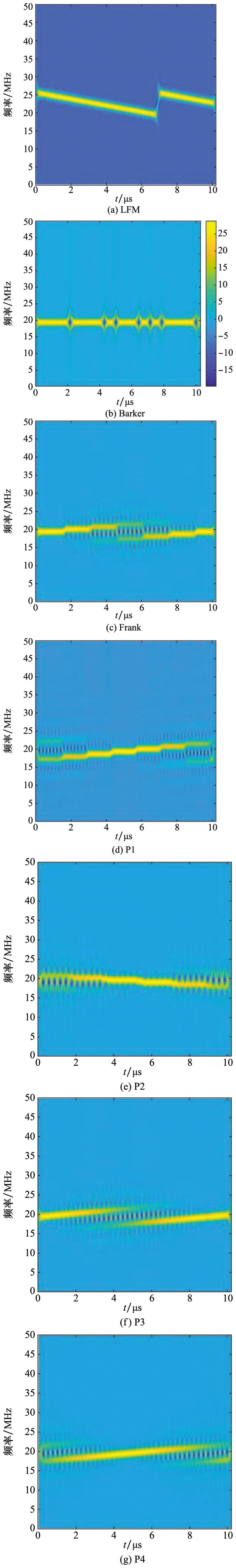
低截获概率(low probability of intercept, LPI)雷达作为一种具有强抗干扰能力及低截获特性的新型雷达, 对其精准高效识别已成为雷达对抗一方波形识别的难点。针对该方向主流分类器卷积神经网络(convolution neural network, CNN)的结构智能寻优问题, 提出一种基于粒子群优化(particle swarm optimization, PSO)算法-CNN的波形识别算法。该算法利用PSO的寻优特性, 可实现较大范围内自动搭建不定层数、不定层类别及层内参数的CNN结构并进行迭代寻优; 采用识别精度及网络复杂度相结合的衡量指标, 可根据需求调整两者比重以实现对精度与轻量性的选择。该算法获取的CNN结构实现了比9种经典CNN结构更好的LPI雷达波形识别效果, 同时避免了波形识别时人工选定CNN超参数缺乏智能性、客观性的问题, 提高了选用CNN结构的适配性及高效性。
中图分类号:
赵帅, 刘松涛, 汪慧阳. 基于PSO-CNN的LPI雷达波形识别算法[J]. 系统工程与电子技术, 2021, 43(12): 3552-3563.
Shuai ZHAO, Songtao LIU, Huiyang WANG. LPI radar waveform recognition algorithm based on PSO-CNN[J]. Systems Engineering and Electronics, 2021, 43(12): 3552-3563.
表
"
| 算法1 PSO-CNN |
| 输入 运行次数(Nr), PSO群体粒子数(N), PSO最大迭代次数(itmax), 训练数据(X, Y), 个体极值与全局极值的选择阈值(Ctsh), 网络层数范围(lmin, lmax), 卷积层最大卷积核尺寸(kmax), 全连接层最大神经元数(nmax), 网络输出维度(dout), 粒子评估前训练epoch数(etrain), 最优框架测试前训练epoch数(etest)。 |
| 输出 最优CNN架构及其参数数量, 测试准确率。 |
| 1 for j=1 to Nr do |
| 2 S={P1, P2, …, PN}←粒子群初始化(Nr, N, lmin, lmax, kmax, nmax, dout) |
| 3 P1.pbest←P1, P1.grade, P1.pbest.grade←CNN粒子分数评估(P1, X, Y, etrain) |
| 4 gbest←P1, gbest.grade←P1.grade |
| 5 for i=2 to N do |
| 6 Pi.pbest←Pi, Pi.grade, Pi.pbest.grade←CNN粒子分数评估(Pi, X, Y, etrain) |
| 7 if Pi.grade≥gbest.grade then |
| 8 gbest←Pi |
| 9 end |
| 10 end |
| 11 for it=1 to itmax do |
| 12 for i=1 to N do |
| 13 Pi.velocity←CNN粒子速度计算(Pi, Ctsh) |
| 14 Pi←粒子更新(Pi, Pi.velocity) |
| 15 Pi.grade←CNN粒子分数评估(Pi, X, Y, etrain) |
| 16 if Pi.grade≥Pi.pbest.grade then |
| 17 Pi.pbest←Pi, Pi.pbest.grade←Pi.grade |
| 18 if Pi.pbest.grade≥gbest.grade then |
| 19 gbest←Pi, gbest.grade←Pi.grade |
| 20 end |
| 21 end |
| 22 end |
| 23 end |
| 24 CNN粒子分数评估(gbest, X, Y, etest)←gbest |
| 25 return gbest, gbest.nparamaters, gbest.grade |
| 26 end |
| 27 return gbest, average of gbest.nparameters, average of gbest.grade |
表
"
| 算法2 粒子群初始化 |
| 输入 PSO群体粒子数(N), 网络层数范围(lmin, lmax), 卷积层最大卷积核尺寸(kmax), 卷积层最大输出通道数(Cconv-max), 全连接层最大神经元数(nmax), 网络输出维度(dout), 随机选取卷积层、池化层及全连接层的概率(Pconv, Ppool, PFC), 三者和为1。 |
| 输出 初始粒子群S={P1, P2, …, PN}。 |
| 1 for i=1 to N do |
| 2 Pi.depth=rand(lmin, lmax) |
| 3 for j=1 to Pi.depth do |
| 4 if j==1 then |
| 5 list_layers[j]←addconv(Cconv-max, kmax) |
| 6 elif j==Pi.depth then |
| 7 list_layers[j]←addFC(dout) |
| 8 elif list_layers[j-1].type==FC then |
| 9 list_layers[j]←addFC(nmax) |
| 10 else |
| 11 layer_type←rand(0, 1) |
| 12 if layer_type≤Pconvthen |
| 13 list_layers[j]←addconv(Cconv-max, kmax) |
| 14 elif Pconv≤layer_type≤Pconv+Ppool then |
| 15 list_layers[j]←addpool() |
| 16 else |
| 17 list_layers[j]←addFC(nmax) |
| 18 end |
| 19 end |
| 20 end |
| 21 Pi←list_layers |
| 22 end |
| 23 return S={P1, P2, …, PN} |
表
"
| 算法3 粒子差异计算 |
| 输入 粒子P1、P2 |
| 输出 diff=P1-P2 |
| 1 indexP1←寻找起始FC层索引(P1), indexP2←寻找起始FC层索引(P2) |
| 2 P1copo←P1[0:indexP1-1], P2copo←P2[0:indexP2-1] |
| 3 P1FC←P1[P1.length: -1:indexP1], P2FC←P2[P2.length: -1:index2: ] |
| 4 L=lengthdiff←max(indexP1, indexP2)+max(P1FC.length, P2FC.length) |
| 5 for i=0 to max (indexP1, indexP2)do |
| 6 if P1copo[i]≠None and P2copo[i]≠None then |
| 7 if P1copo[i].type=P2copo[i].type then |
| 8 diff[i]←0 |
| 9 else diff[i]←P1copo[i].type end |
| 10 elif P1copo[i]≠None and P2copo[i]=None then |
| 11 diff[i]←P1copo[i].type |
| 12 else P1copo[i]=None and P2copo[i]≠None then |
| 13 diff[i]←None |
| 14 end |
| 15 end |
| 16 for j=0 to max(P1FC.length, P2FC.length)do |
| 17 if P1FC[j]≠None and P2FC[j]≠None then |
| 18 diff[L-j]←0 |
| 19 elif P1FC[j]≠None and P2FC[j]=None then |
| 20 diff[L-j]←P1FC[j].type |
| 21 else P1FC[j]=None and P2FC[j]≠None then |
| 22 diff[L-j]←None |
| 23 end |
| 24 end |
| 25 return diff |
表6
与经典CNN的进一步对比"
| 类别 | 平均检测精度(SNR≥0)/% | 参数数量 | 检测时间/s |
| PSO-CNN-3 | 94.8 | 1.469×106 | 3 |
| PSO-CNN-5 | 87.8 | 3.477×106 | 3 |
| LeNet | 71.0 | 5.492×106 | 3 |
| AlexNet | 91.1 | 2.566 1×107 | 3 |
| ZFNet | 70.9 | 2.565 5×107 | 4 |
| VGG13 | 76.6 | 3.868 1×107 | 22 |
| VGG16 | 72.2 | 4.399 1×107 | 29 |
| VGG19 | 72.5 | 4.930 1×107 | 40 |
| GoogleNet | 78.7 | 1.244 6×107 | 53 |
| ResNet-34 | 67.5 | 2.268 3×107 | 35 |
| ResNet-50 | 64.1 | 4.574 6×107 | 65 |
| 1 | 刘松涛, 雷震烁, 温镇铭, 等. 认知电子战研究进展[J]. 探测与控制学报, 2020, 42 (5): 1- 15. |
| LIU S T , LEI Z S , WEN Z M , et al. A development review on cognitive electronic warfare[J]. Journal of Detection & Control, 2020, 42 (5): 1- 15. | |
| 2 |
ZHANG M , DIAO M , GUO L M . Convolutional neural networks for automatic cognitive radio waveform recognition[J]. IEEE Access, 2017, 5, 11074- 11082.
doi: 10.1109/ACCESS.2017.2716191 |
| 3 |
KONG S H , KIM M , HOANG L M . Automatic LPI radar waveform recognition using CNN[J]. IEEE Access, 2018, 6, 4207- 4219.
doi: 10.1109/ACCESS.2017.2788942 |
| 4 | 吴琼. 基于改进CNN的雷达辐射源识别算法研究[D]. 西安: 西安电子科技大学, 2019. |
| WU Q. Research on radar emitter recognition algorithm based on improved CNN[D]. Xi'an: Xidian University, 2019. | |
| 5 | 杨洁, 弋佳东. 改进GA优化BP神经网络的雷达信号识别[J]. 西安邮电大学学报, 2019, 24 (6): 11- 15. |
| YANG J , YI J D . Radar signal recognition based on BP neural network optimized by improved GA[J]. Journal of Xi'an University of Posts and Telecommunications, 2019, 24 (6): 11- 15. | |
| 6 | 赵毅. 基于改进量子粒子群卷积神经网络雷达信号识别[D]. 镇江: 江苏科技大学, 2019. |
| ZHAO Y. Radar signal recognition based on improved quantum particle swarm optimization convolution neural network[D]. Zhenjiang: Jiangsu University of Science and Technology, 2019. | |
| 7 | 高华照. 基于深度卷积神经网络的图像识别算法研究[D]. 长春: 吉林大学, 2018. |
| GAO H Z. Research on image recognition algorithm based on deep convolutional neural networks[D]. Changchun: Jilin University, 2018. | |
| 8 | 王金哲, 王泽儒, 王红梅. 基于PSO算法与Dropout的改进CNN算法[J]. 长春工业大学学报, 2019, 40 (1): 26- 30. |
| WANG J Z , WANG Z R , WANG H M . An improved CNN algorithm based on PSO and dropout[J]. Journal of Changchun University of Technology, 2019, 40 (1): 26- 30. | |
| 9 | 白燕燕. 基于粒子群算法优化卷积神经网络结构[D]. 呼和浩特: 内蒙古大学, 2019. |
| BAI Y Y. Optimization of convolutional neural network structure based on particle swarm optimization[D]. Huhhot: Inner Mongolia University, 2019. | |
| 10 |
JUNIOR F E F , YEN G G . Particle swarm optimization of deep neural networks architectures for image classification[J]. Swarm and Evolutionary Computation, 2019, 49, 62- 74.
doi: 10.1016/j.swevo.2019.05.010 |
| 11 |
LECUN Y , BOTTOU L , BENGIO Y , et al. Gradient-based learning applied to document recognition[J]. Proceedings of the IEEE, 1998, 86 (11): 2278- 2324.
doi: 10.1109/5.726791 |
| 12 | KENNEDY J, EBERHART R. Particle swarm optimization[C]// Proc. of the International Conference on Neural Networks, 2002: 1942-1948. |
| 13 |
SAHU A , PANIGRAHI S K , PATTNAIK S . Fast convergence particle swarm optimization for functions optimization[J]. Procedia Technology, 2012, 4, 319- 324.
doi: 10.1016/j.protcy.2012.05.048 |
| 14 |
WANG H , YEN G G . Adaptive multiobjective particle swarm optimization based on parallel cell coordinate system[J]. IEEE Trans.on Evolutionary Computation, 2015, 19 (1): 1- 18.
doi: 10.1109/TEVC.2013.2296151 |
| 15 |
FAN X L , KOU K I , LIU M S . Quaternion Wigner-Ville distribution associated with the linear canonical transforms[J]. Signal Processing, 2017, 130, 129- 141.
doi: 10.1016/j.sigpro.2016.06.018 |
| 16 |
HARTONO D , HALIM D , WYN R G , et al. Gear fault diagnosis using an improved reassigned smoothed pseudo Wigner-Ville distribution[J]. Cogent Engineering, 2018, 5 (1): 1436928.
doi: 10.1080/23311916.2018.1436928 |
| 17 |
YANN L C , BOTTOU L , BENGIO Y , et al. Gradient-based learning applied to document recognition[J]. Proceedings of the IEEE, 1998, 86 (11): 2278- 2324.
doi: 10.1109/5.726791 |
| 18 | KRIZHEVSKY A, SUTSKEVER I, HINTON G. ImageNet classification with deep convolutional neural networks[C]//Proc. of the Conference on Neural Information Processing Systems, 2012. |
| 19 | SIMONYAN K, ZISSERMAN A. Very deep convolutional networks for large-scale image recognition[EB/OL]. [2021-01-20]. https://arxiv.org/pdf/1409.1556.pdf. |
| 20 | SZEGEDY C, LIU W, JIA Y Q, et al. Going deeper with convolutions[C]//Proc. of the IEEE Conference on Computer Vision and Pattern Recognition, 2015. |
| 21 | HE K M, ZHANG X Y, REN S Q, et al. Deep residual learning for image recognition[C]//Proc. of the IEEE Conference on Computer Vision and Pattern Recognition, 2016: 770-778. |
| [1] | 杨建峰, 肖和业, 李亮, 白俊强, 董维浩. 基于模糊聚类和专家评分机制的无人机多层次模块划分方法[J]. 系统工程与电子技术, 2022, 44(8): 2530-2539. |
| [2] | 杜思予, 全英汇, 沙明辉, 方文, 邢孟道. 基于进化PSO算法的稀疏捷变频雷达波形优化[J]. 系统工程与电子技术, 2022, 44(3): 834-840. |
| [3] | 徐桂光, 王旭东, 汪飞, 胡国兵, 高涌荇, 罗泽虎. 基于SE-ResNeXt网络的低信噪比LPI雷达辐射源信号识别[J]. 系统工程与电子技术, 2022, 44(12): 3676-3684. |
| [4] | 王坤, 侯树贤, 王力. 基于自适应变异PSO-SVM的APU性能参数预测模型[J]. 系统工程与电子技术, 2021, 43(2): 526-536. |
| [5] | 郝志梅, 孙进平, 罗美方. 基于复合频率编码的低截获概率波形簇设计[J]. 系统工程与电子技术, 2021, 43(11): 3137-3143. |
| [6] | 李玖阳, 胡敏, 王许煜, 徐家辉, 李菲菲. 基于ALPSO算法的低轨卫星小推力离轨最优控制方法[J]. 系统工程与电子技术, 2021, 43(1): 199-207. |
| [7] | 何春蓉, 朱江. 基于注意力机制的GRU神经网络安全态势预测方法[J]. 系统工程与电子技术, 2021, 43(1): 258-266. |
| [8] | 马愈昭, 王强强, 王瑞松, 熊兴隆. 基于SVD和MPSO-SVM的光纤周界[J]. 系统工程与电子技术, 2020, 42(8): 1652-1661. |
| [9] | 苏志刚, 陈欣然, 郝敬堂. 基于粒子群优化的圆阵列波束形成方法[J]. 系统工程与电子技术, 2020, 42(7): 1449-1454. |
| [10] | 吴明功, 叶泽龙, 温祥西, 王宏军. 基于局部弹性路由层的关键航路段改航规划[J]. 系统工程与电子技术, 2020, 42(7): 1534-1542. |
| [11] | 孙胜祥, 韩霜. 基于双层决策的装备订购多因素激励定价模型与算法[J]. 系统工程与电子技术, 2020, 42(6): 1338-1347. |
| [12] | 徐涛, 吴志帅, 卢敏, 吕宗磊, 李忠虎. 面向拥堵问题的枢纽航线网络优化模型[J]. 系统工程与电子技术, 2020, 42(11): 2553-2559. |
| [13] | 练青坡, 王宏健, 袁建亚, 高娜, 胡文月. 基于粒子群优化算法的USV集群协同避碰方法[J]. 系统工程与电子技术, 2019, 41(9): 2034-2040. |
| [14] | 蒋旭瑞, 吴明功, 温祥西, 涂从良, 聂党民. 基于合作博弈的多机飞行冲突解脱策略[J]. 系统工程与电子技术, 2018, 40(11): 2482-. |
| [15] | 范成礼, 付强, 邢清华. 基于改进PSO的临空高速飞行器协同跟踪优化[J]. 系统工程与电子技术, 2017, 39(3): 476-481. |
| 阅读次数 | ||||||
|
全文 |
|
|||||
|
摘要 |
|
|||||