

系统工程与电子技术 ›› 2023, Vol. 45 ›› Issue (6): 1893-1901.doi: 10.12305/j.issn.1001-506X.2023.06.34
• 可靠性 • 上一篇
李犟, 吴和成, 朱晨
收稿日期:2022-06-28
出版日期:2023-05-25
发布日期:2023-06-01
通讯作者:
李犟
作者简介:李犟(1997—), 男, 博士研究生, 主要研究方向为可靠性理论Jiang LI, Hecheng WU, Chen ZHU
Received:2022-06-28
Online:2023-05-25
Published:2023-06-01
Contact:
Jiang LI
摘要:
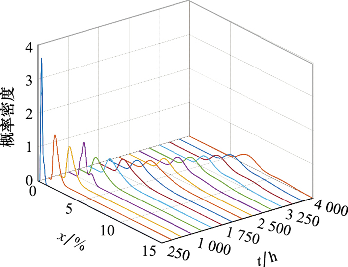
退化模型是评估长寿命产品可靠性的有效方法, 但已有参数退化模型忽略了退化量分布未知、最优退化量分布和退化量有界性等问题, 导致模型可靠性评估精度不足, 适用范围有限。针对已有方法的不足, 提出一种评估长寿命产品可靠性的半参数退化模型。首先, 通过考虑边界的非参数对数变换核密度估计方法拟合产品在各检测时刻的退化量分布; 然后, 基于退化量分布与寿命分布的关系, 利用最小二乘法与遗传算法估计产品寿命分布参数; 最后, GaAs激光器与合金钢的实例应用表明, 所构建模型能够更好地拟合退化数据, 可靠性评估精度更高。
中图分类号:
李犟, 吴和成, 朱晨. 基于半参数退化模型的长寿命产品可靠性评估[J]. 系统工程与电子技术, 2023, 45(6): 1893-1901.
Jiang LI, Hecheng WU, Chen ZHU. Reliability assessment of long-life products based on semi-parametric degradation model[J]. Systems Engineering and Electronics, 2023, 45(6): 1893-1901.
表1
GaAs激光器相对差异度结果"
| t/h | logKDE | KDE | AKDE | 正态分布 | 对数正态分布 | 威布尔分布 | Gamma分布 |
| 250 | 0.344 | 0.587 | 0.504 | 0.515 | 0.392 | 0.557 | 0.409 |
| 500 | 0.273 | 0.469 | 0.456 | 0.435 | 0.288 | 0.453 | 0.340 |
| 750 | 0.336 | 0.459 | 0.432 | 0.488 | 0.355 | 0.524 | 0.397 |
| 1 000 | 0.436 | 0.619 | 0.564 | 0.746 | 0.615 | 0.772 | 0.659 |
| 1 250 | 0.325 | 0.500 | 0.490 | 0.486 | 0.354 | 0.525 | 0.395 |
| 1 500 | 0.375 | 0.489 | 0.479 | 0.585 | 0.482 | 0.610 | 0.526 |
| 1 750 | 0.344 | 0.546 | 0.539 | 0.525 | 0.403 | 0.571 | 0.443 |
| 2 000 | 0.360 | 0.490 | 0.455 | 0.558 | 0.435 | 0.589 | 0.477 |
| 2 250 | 0.268 | 0.448 | 0.427 | 0.437 | 0.375 | 0.418 | 0.415 |
| 2 500 | 0.269 | 0.426 | 0.405 | 0.539 | 0.438 | 0.547 | 0.481 |
| 2 750 | 0.327 | 0.500 | 0.443 | 0.634 | 0.526 | 0.656 | 0.567 |
| 3 000 | 0.344 | 0.515 | 0.460 | 0.648 | 0.538 | 0.671 | 0.580 |
| 3 250 | 0.341 | 0.525 | 0.478 | 0.681 | 0.575 | 0.701 | 0.617 |
| 3 500 | 0.257 | 0.501 | 0.479 | 0.597 | 0.480 | 0.622 | 0.522 |
| 3 750 | 0.316 | 0.502 | 0.463 | 0.650 | 0.541 | 0.668 | 0.583 |
| 4 000 | 0.370 | 0.580 | 0.504 | 0.728 | 0.608 | 0.755 | 0.649 |
表2
合金钢相对差异度结果"
| 旋转/次 | logKDE | KDE | AKDE | 正态分布 | 对数正态分布 | 威布尔分布 | Gamma分布 |
| 1×104 | 0.958 | 0.958 | 0.957 | 1.194 | 1.194 | 1.174 | 1.218 |
| 2×104 | 0.532 | 0.548 | 0.529 | 0.576 | 0.596 | 0.599 | 0.614 |
| 3×104 | 0.638 | 0.578 | 0.581 | 0.828 | 0.837 | 0.837 | 0.862 |
| 4×104 | 0.398 | 0.502 | 0.493 | 0.491 | 0.459 | 0.541 | 0.496 |
| 5×104 | 0.307 | 0.559 | 0.550 | 0.382 | 0.406 | 0.396 | 0.422 |
| 6×104 | 0.311 | 0.565 | 0.554 | 0.322 | 0.340 | 0.361 | 0.358 |
| 7×104 | 0.306 | 0.484 | 0.474 | 0.434 | 0.365 | 0.488 | 0.406 |
| 8×104 | 0.241 | 0.505 | 0.494 | 0.393 | 0.344 | 0.440 | 0.363 |
| 9×104 | 0.222 | 0.532 | 0.521 | 0.311 | 0.330 | 0.346 | 0.347 |
| 10×104 | 0.209 | 0.538 | 0.527 | 0.343 | 0.291 | 0.383 | 0.333 |
| 11×104 | 0.260 | 0.558 | 0.548 | 0.310 | 0.293 | 0.356 | 0.311 |
| 12×104 | 0.234 | 0.518 | 0.508 | 0.387 | 0.288 | 0.413 | 0.340 |
| 1 |
YANGC Q,GUX H,ZHAOF C.Reliability analysis of degrading systems based on time-varying copula[J].Microelectronics Reliability,2022,136,114628.
doi: 10.1016/j.microrel.2022.114628 |
| 2 | MEEKERW Q,ESCOBARL A.Statistical methods for reliability data[M].New York:John Wiley & Sons,1998. |
| 3 | SABERZADEHZ,RAZMKHAHM.Reliability of degrading complex systems with two dependent components per element[J].Reliability Engineering & System Safety,2022,222,108398. |
| 4 | CHENX Y,YANGQ Y,WUX.Nonlinear degradation model and reliability analysis by integrating image covariate[J].Reliability Engineering & System Safety,2022,225(4):108602. |
| 5 |
毛泽龙,王治华,吴琼,等.双指标阶段性退化建模及可靠性分析[J].系统工程与电子技术,2021,43(12):3725-3731.
doi: 10.12305/j.issn.1001-506X.2021.12.37 |
|
MAOZ L,WANGZ H,WUQ,et al.Bivariate and two-stage degradation modeling and reliability analysis[J].Systems Engineering and Electronics,2021,43(12):3725-3731.
doi: 10.12305/j.issn.1001-506X.2021.12.37 |
|
| 6 |
潘尔顺,陈震.高可靠性产品退化建模研究综述[J].工业工程与管理,2015,20(6):1-6.1-6, 13
doi: 10.3969/j.issn.1007-5429.2015.06.001 |
|
PANE S,CHENZ.Review of degradation model for high reliability products[J].Industrial Engineering and Management,2015,20(6):1-6.1-6, 13
doi: 10.3969/j.issn.1007-5429.2015.06.001 |
|
| 7 |
LUC J,MEEKERW O.Using degradation measures to estimate a time-to-failure distribution[J].Technometrics,1993,35(2):161-174.
doi: 10.1080/00401706.1993.10485038 |
| 8 |
FREITASM A,DE-TOLEDOM L G,COLOSIMOE A,et al.Using degradation data to assess reliability: a case study on train wheel degradation[J].Quality and Reliability Engineering International,2009,25(5):607-629.
doi: 10.1002/qre.995 |
| 9 |
BIANL,GEBRAEELN.Stochastic framework for partially degradation systems with continuous component degradation-rate-interactions[J].Naval Research Logistics,2014,61(4):286-303.
doi: 10.1002/nav.21583 |
| 10 |
BAES J,KVAMP H.A nonlinear random-coefficients model for degradation testing[J].Technometrics,2004,46(4):460-469.
doi: 10.1198/004017004000000464 |
| 11 |
PANR,CRISPINT.A hierarchical modeling approach to accelerated degradation testing data analysis: a case study[J].Quality and Reliability Engineering International,2011,27(2):229-237.
doi: 10.1002/qre.1100 |
| 12 |
XUZ B,HONGY L,JINR.Nonlinear general path models for degradation data with dynamic covariates[J].Applied Stochastic Models in Business and Industry,2016,32(2):153-167.
doi: 10.1002/asmb.2129 |
| 13 |
KANGR,GONGW J,CHENY X.Model-driven degradation modeling approaches: investigation and review[J].Chinese Journal of Aeronautics,2020,33(4):1137-1153.
doi: 10.1016/j.cja.2019.12.006 |
| 14 |
ZHANGZ H,LIUX,ZHANGY,et al.Time interval of multiple crossings of the Wiener process and a fixed threshold in engineering[J].Mechanical Systems and Signal Processing,2020,135,106389.
doi: 10.1016/j.ymssp.2019.106389 |
| 15 |
SUNL,ZHAOF C,BALAKRISHNANN,et al.A nonlinear Wiener degradation model integrating degradation data under accelerated stresses and real operating environment[J].Proceedings of the Institution of Mechanical Engineers, Part O: Journal of Risk and Reliability,2021,235(3):356-373.
doi: 10.1177/1748006X20978099 |
| 16 |
TANGS J,WANGF F,SUNX Y,et al.Unbiased parameters estimation and mis-specification analysis of Wiener process-based degradation model with random effects[J].Applied Mathematical Modelling,2022,109,134-160.
doi: 10.1016/j.apm.2022.03.039 |
| 17 |
WUB,CUIL R,YINJ.Reliability and maintenance of systems subject to Gamma degradation and shocks in dynamic environments[J].Applied Mathematical Modelling,2021,96,367-381.
doi: 10.1016/j.apm.2021.03.009 |
| 18 | LINC P,LINGM H,CABRERAJ,et al.Prognostics for lithium-ion batteries using a two-phase gamma degradation process model[J].Reliability Engineering & System Safety,2021,214,107797. |
| 19 |
WANGX F,WANGB X,HONGY L,et al.Degradation data analysis based on gamma process with random effects[J].European Journal of Operational Research,2021,292(3):1200-1208.
doi: 10.1016/j.ejor.2020.11.036 |
| 20 |
JIANGP H,WANGB X,WANGX F,et al.Inverse Gaussian process based reliability analysis for constant-stress accele-rated degradation data[J].Applied Mathematical Modelling,2022,105,137-148.
doi: 10.1016/j.apm.2021.12.003 |
| 21 |
FANGG Q,PANR,WANGY K.Inverse Gaussian processes with correlated random effects for multivariate degradation modeling[J].European Journal of Operational Research,2022,300(3):1177-1193.
doi: 10.1016/j.ejor.2021.10.049 |
| 22 | HAOS H,YANGJ,BERENGUERC.Degradation analysis based on an extended inverse Gaussian process model with skew-normal random effects and measurement errors[J].Reliability Engineering & System Safety,2019,189,261-270. |
| 23 |
YEZ S,XIEM.Stochastic modelling and analysis of degradation for highly reliable products[J].Applied Stochastic Models in Business and Industry,2015,31(1):16-32.
doi: 10.1002/asmb.2063 |
| 24 |
LINK S,WANGY T,CHENY X.A kernel-density based semi-parametric stochastic degradation model with dependent increments[J].Mechanical Systems and Signal Processing,2021,161,107978.
doi: 10.1016/j.ymssp.2021.107978 |
| 25 |
邓爱民,陈循,张春华,等.基于性能退化数据的可靠性评估[J].宇航学报,2006,27(3):546-552.
doi: 10.3321/j.issn:1000-1328.2006.03.044 |
|
DENGA M,CHENX,ZHANGC H,et al.Reliability assessment based on performance degradation data[J].Journal of Astronautics,2006,27(3):546-552.
doi: 10.3321/j.issn:1000-1328.2006.03.044 |
|
| 26 |
王浩伟,滕克难.基于加速退化数据的可靠性评估技术综述[J].系统工程与电子技术,2017,39(12):2877-2885.
doi: 10.3969/j.issn.1001-506X.2017.12.35 |
|
WANGH W,TENGK N.Review of reliability evaluation technology based on accelerated degradation data[J].Systems Engineering and Electronics,2017,39(12):2877-2885.
doi: 10.3969/j.issn.1001-506X.2017.12.35 |
|
| 27 | 钟强晖,张志华,王磊.考虑模型选择的退化数据分析方法[J].系统工程,2009,27(11):111-114. |
| ZHONGQ H,ZHANGZ H,WANGL.Approach about de-gradation data analysis considering model selection[J].Systems Engineering,2009,27(11):111-114. | |
| 28 |
张卫贞,石慧,曾建潮,等.基于核微分同胚变换的实时剩余寿命预测[J].计算机集成制造系统,2020,26(10):2781-2791.
doi: 10.13196/j.cims.2020.10.018 |
|
ZHANGW Z,SHIH,ZENGJ C,et al.Real-time residual life prediction based on kernel differential homeomorphic transformation[J].Computer Integrated Manufacturing Systems,2020,26(10):2781-2791.
doi: 10.13196/j.cims.2020.10.018 |
|
| 29 | SILVERMANB W.Density estimation for statistics and data analysis[M].London:Chapman and Hall,1986. |
| 30 |
BAIX Y,JIANGH,LIC,et al.Joint probability distribution of coastal winds and waves using a log-transformed kernel density estimation and mixed copula approach[J].Ocean Engineering,2020,216,107937.
doi: 10.1016/j.oceaneng.2020.107937 |
| 31 | CHARPENTIERA,FLACHAIREE.Log-transform kernel density estimation of income distribution[J].Computer Science, Economics,2015,91(1/2):141-159. |
| 32 |
SHEATHERS J,JONESM C.A reliable data-based bandwidth selection method for kernel density estimation[J].Journal of the Royal Statistical Society: Series B (Methodological),1991,53(3):683-690.
doi: 10.1111/j.2517-6161.1991.tb01857.x |
| 33 |
JIAX.Reliability analysis for Weibull distribution with homogeneous heavily censored data based on Bayesian and least-squares methods[J].Applied Mathematical Modelling,2020,83,169-188.
doi: 10.1016/j.apm.2020.02.013 |
| 34 | ZHUT F.Reliability estimation for two-parameter Weibull distribution under block censoring[J].Reliability Engineering & System Safety,2020,203,107071. |
| 35 |
MONTOYAJ A,DIAZ-FRANCESE,FIGUEROAG.Estimation of the reliability parameter for three-parameter Weibull models[J].Applied Mathematical Modelling,2019,67,621-633.
doi: 10.1016/j.apm.2018.11.043 |
| 36 |
杨雷,曹希雯.非交互个体的估计值分布研究及其在群体智慧中的应用[J].系统工程理论与实践,2021,41(10):2733-2747.
doi: 10.12011/SETP2020-0404 |
|
YANGL,CAOX W.Research on the distribution of non-interactive individual's estimates with applications in the wisdom of crowds[J].Systems Engineering-Theory & Practice,2021,41(10):2733-2747.
doi: 10.12011/SETP2020-0404 |
| [1] | 何燕秋, 王有元, 何俐萍. 基于最大信息熵的长寿命产品可靠度置信区间Bootstrap估计方法[J]. 系统工程与电子技术, 2023, 45(6): 1880-1892. |
| [2] | 史跃东, 金家善, 柴凯. 大型复杂系统多态可靠性快速评估算法[J]. 系统工程与电子技术, 2022, 44(10): 3282-3290. |
| [3] | 翟亚利, 张志华, 邵松世. 多种退化机理作用下的产品可靠性建模[J]. 系统工程与电子技术, 2021, 43(6): 1714-1720. |
| [4] | 王婵, 王慧泉, 金仲和, 靳鑫. ZDPS-2卫星可靠性试验评估方法[J]. 系统工程与电子技术, 2019, 41(2): 453-458. |
| [5] | 邵松世, 刘海涛, 张志华. 融合多源先验信息的舰船备件可靠性评估[J]. 系统工程与电子技术, 2019, 41(12): 2905-2910. |
| [6] | 董文杰, 刘思峰, 方志耕, 曹颖赛, 张秦. 基于HGERT网络模型的退化型失效可靠性评估[J]. 系统工程与电子技术, 2019, 41(1): 208-214. |
| [7] | 史跃东, 金家善, 徐一帆, 胡俊波. 基于发生函数的模糊多状态复杂系统可靠性通用评估方法[J]. 系统工程与电子技术, 2018, 40(1): 238-244. |
| [8] | 凌冬怡, 王世海, 刘斌. 基于AADL体系结构模型的构件系统可靠性评估[J]. 系统工程与电子技术, 2017, 39(4): 947-952. |
| [9] | 王浩伟, 滕克难. 基于加速退化数据的可靠性评估技术综述[J]. 系统工程与电子技术, 2017, 39(12): 2877-2885. |
| [10] | 蔡忠义, 陈云翔, 王莉莉, 罗承昆. 融合外场使用和加速寿命数据的可靠性评估方法[J]. 系统工程与电子技术, 2016, 38(6): 1476-1480. |
| [11] | 黄金波, 孔德景, 崔利荣. 多阶段可校正系统退化建模与可靠性评估[J]. 系统工程与电子技术, 2016, 38(4): 965-969. |
| [12] | 蔡忠义, 陈云翔, 张诤敏, 项华春. 基于比例失效率退化模型的可靠性评估方法[J]. 系统工程与电子技术, 2015, 37(8): 1943-1947. |
| [13] | 蔡忠义, 陈云翔, 项华春, 董骁雄. 基于无失效数据的加权E-Bayes可靠性评估方法[J]. 系统工程与电子技术, 2015, 37(1): 219-223. |
| [14] | 翟亚利,张志华,李大伟. 基于冲击理论的性能可靠性评估研究[J]. 系统工程与电子技术, 2014, 36(10): 2108-2112. |
| [15] | 李大伟, 张志华, 钟强晖, 刘天华, 李万. 基于维护的产品使用可靠性评估及应用[J]. Journal of Systems Engineering and Electronics, 2013, 35(7): 1584-1588. |
| 阅读次数 | ||||||
|
全文 |
|
|||||
|
摘要 |
|
|||||