

系统工程与电子技术 ›› 2026, Vol. 48 ›› Issue (1): 218-234.doi: 10.12305/j.issn.1001-506X.2026.01.20
宋祺1(
), 黄震宇2, 李寰宇1,*, 郭安新1, 杨任农1
收稿日期:2024-09-26
出版日期:2026-01-25
发布日期:2026-02-11
通讯作者:
李寰宇
E-mail:17879002570@163.com
作者简介:宋 祺(2001—),男,硕士研究生,主要研究方向为智能空中战斗管理、智能空战博弈基金资助:
Qi SONG1(
), Zhenyu HUANG2, Huanyu LI1,*, Anxin GUO1, Rennong YANG1
Received:2024-09-26
Online:2026-01-25
Published:2026-02-11
Contact:
Huanyu LI
E-mail:17879002570@163.com
摘要:
针对“敏捷作战运用”概念数学机理研究较少的现状,聚焦基地建设进行要素体系建模与数值仿真研究。首先,基于“敏捷作战运用”作战概念,明确综合基地建设的任务需求,分级分层梳理影响要素体系。然后,建立包含疏散、对手火力打击、基地建设成本在内的基地建设模型体系,并通过鲁棒多目标优化求解帕累托最优前沿。最后,针对典型基地建设方案,对影响基地建设目标的关键要素进行仿真分析。仿真实验结果表明,提出的基地建设模型能够正确反映各要素对“敏捷作战运用”目标的影响,为基地建设提供参考。
中图分类号:
宋祺, 黄震宇, 李寰宇, 郭安新, 杨任农. “敏捷作战运用”基地建设建模仿真研究[J]. 系统工程与电子技术, 2026, 48(1): 218-234.
Qi SONG, Zhenyu HUANG, Huanyu LI, Anxin GUO, Rennong YANG. Modeling and simulation study of “agile combat employment” base construction[J]. Systems Engineering and Electronics, 2026, 48(1): 218-234.
表2
模型参数"
| 序号 | 参数 | 符号 | 数值 |
| 1 | 红方导弹飞行时间 | 10 | |
| 2 | 观察−判断−决策时间 | 1 | |
| 3 | 决策时间 | 1 | |
| 4 | 跑道长度 | ||
| 5 | 跑道宽度 | 40 | |
| 6 | 飞机最小起飞滑跑距离 | 400 | |
| 7 | 飞机滑行时间 | 2 | |
| 8 | 起飞滑跑时间 | 0.5 | |
| 9 | 起飞最小间隔等待时间 | 0.5 | |
| 10 | 三等战斗值班飞机机务准备时间 | 50 | |
| 11 | 二等战斗值班飞机机务准备时间 | 30 | |
| 12 | 一等战斗值班飞机机务准备时间 | 10 | |
| 13 | 三等战斗值班飞机数量 | 36 | |
| 14 | 二等战斗值班飞机数量 | 16 | |
| 15 | 一等战斗值班飞机数量 | 48 | |
| 16 | 平均机务准备时间 | 27.6 | |
| 17 | 基地飞机总数量 | 100 | |
| 18 | 跑道成本 | 5 | |
| 19 | 加固飞机掩体成本 | 0.292 | |
| 20 | 半永久应急地点机场成本 | 8 | |
| 21 | 临时应急地点机场成本 | 4 | |
| 22 | 拦截弹成本 | 0.069 | |
| 23 | 半永久应急地点机场容量 | 12 | |
| 24 | 临时应急地点机场容量 | 4 | |
| 25 | 红方导弹圆概率偏差 | 50 | |
| 26 | 红方导弹(子母弹)毁伤半径 | 200 | |
| 27 | 红方导弹(杀爆弹)毁伤半径 | 100 | |
| 28 | 红方发射导弹的总数量 | 100 | |
| 29 | 掩体防护的基准值 | 0.5 | |
| 30 | 情报时间的不确定区间 | (0,120) | |
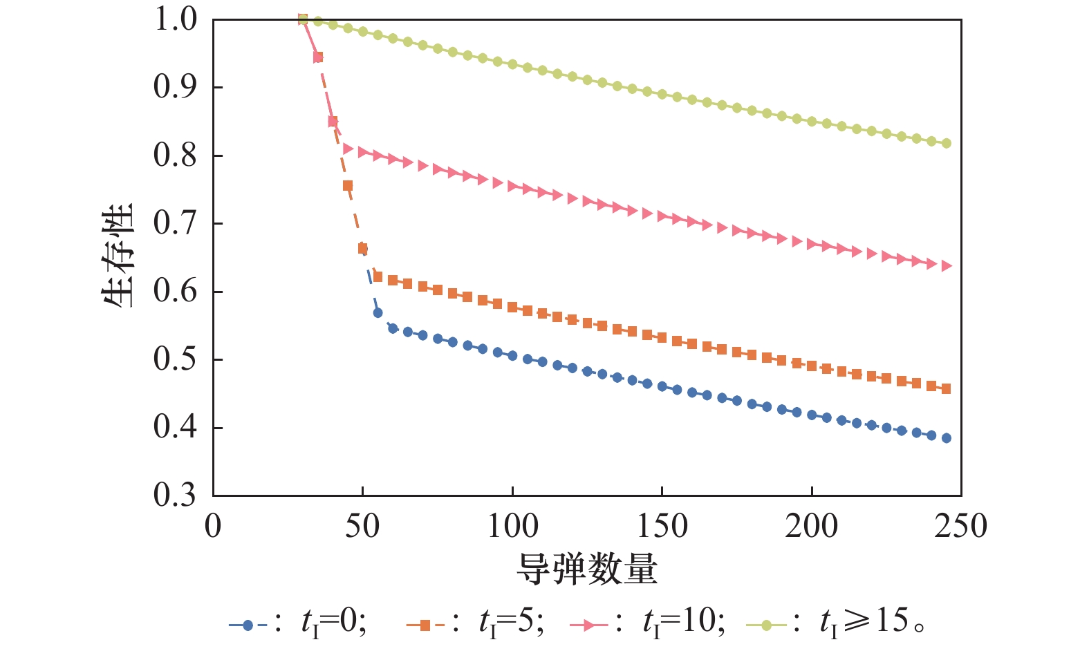
| 31 | 基地建设的最小生存性阈值 | 0.75 |
| 1 | ALAN J V, MARK A. Winning the battle of the airfields[R]. Santa Monic: RAND, 2021. |
| 2 | MARK G, CARL R, LUKAS A. Five priorities for the air force’s future combat air force[R]. Washington, D.C.: Center for Strategic and Budgetary Assessments, 2010. |
| 3 | MIRANDA P, ALAN J V, JACOB L H. Distributed operations in a contested environment[R]. Santa Monica: RAND, 2019. |
| 4 |
杨长胜, 赵维, 金惠明. 美空军敏捷战斗部署演练情况、能力与效果初步分析[J]. 飞航导弹, 2021, (9): 21- 25.
doi: 10.16338/j.issn.1009-1319.20200152 |
|
YANG C S, ZHAO W, JIN H M. Preliminary analysis of the exercises, capabilities and effects of the U.S. Air Force’s Agile Combat Employment[J]. Aerospace Technology, 2021, (9): 21- 25.
doi: 10.16338/j.issn.1009-1319.20200152 |
|
| 5 | 翁宗波. 什么是“敏捷战斗部署”作战?[EB/OL]. [2024-08-25]. http://www.360doc.cn/article/18676898_1045573386.html. |
| WENG Z B. What is agile combat deployment warfare? [EB/OL]. [2024-08-25]. http://www.360doc.cn/article/18676898_1045573386.html. | |
| 6 | AMY H. Rapid raptor 2.0[EB/OL]. [2024-08-25]. https://www.airforcemag.com/rapid-raptor-2-0/. |
| 7 | AMY H. Rapid raptor innovation[EB/OL]. [2024-08-25]. https://www.afrc.af.mil/AboutUs/Innovation/Community/Rapid-Raptor/. |
| 8 | KRIS O. “Rapid raptor”: the air force can attack anywhere with a stealth F-22 in 24 Hours[EB/OL]. [2024-08-25]. https://nationalinte-rest.org/blog/buzz/rapid-raptor-air-force-can-attack-anywhere-stealth-f-22-24-hours-47377. |
| 9 | Air Force. Air force future operating concept[R]. Washington, D.C.: U.S. Air Force, 2015. |
| 10 |
程浚峰. 美军快速猛禽概念与应用研究[J]. 飞航导弹, 2021, (7): 79- 84.
doi: 10.16338/j.issn.1009-1319.20200843 |
|
CHENG J F. Research on the concept and application of the U.S. military's rapid raptor[J]. Aerospace Technology, 2021, (7): 79- 84.
doi: 10.16338/j.issn.1009-1319.20200843 |
|
| 11 |
郝雅楠, 陈杰, 关晓红. 美空军敏捷作战概念研究及其影响分析[J]. 战术导弹技术, 2018, (1): 22- 29.
doi: 10.16358/j.issn.1009-1300.2018.01.04 |
|
HAO Y N, CHEN J, GUAM X H. Study of USAF operational agility concept and its influence analysis[J]. Tactical Missile Technology, 2018, (1): 22- 29.
doi: 10.16358/j.issn.1009-1300.2018.01.04 |
|
| 12 |
奉祁林, 邓烨, 陶西贵, 等. 敏捷作战概念下美国空军前沿基地的部署与运用[J]. 防护工程, 2021, 43 (4): 66- 70.
doi: 10.3969/j.issn.1674-1854.2021.04.011 |
|
FENG Q L, DENG Y, TAO X G, et al. Deployment and application of USAF forward bases under the concept of agile combat[J]. Protective Engineering, 2021, 43 (4): 66- 70.
doi: 10.3969/j.issn.1674-1854.2021.04.011 |
|
| 13 | 赵光, 钱晓庆, 戴卫伟. 美军敏捷运输对我军战略投送建设的启示[J]. 军事交通学院学报, 2019, 21(3): 12−15. |
| ZHAO G, QIAN X Q, DAI W W. US army agile transportation and its enlightenment to development of our army’s strategic projection capability[J]. Journal of Military Transportation University, 2019, 21(3): 12−15. | |
| 14 |
刘科. 联合全域战争背景下的敏捷作战概念研究[J]. 国防科技, 2022, 43 (6): 71- 77.
doi: 10.13943/j.issn1671-4547.2022.06.11 |
|
LIU K. Research on agile operations in the background of joint all-domain warfare.[J]. National Defense Technology, 2022, 43 (6): 71- 77.
doi: 10.13943/j.issn1671-4547.2022.06.11 |
|
| 15 | 王伟, 张洋. 美国空军敏捷作战概念形成及影响分析[J]. 军事文摘, 2020, (15): 59- 62. |
| WANG W, ZHANG Y. Analysis of the formation and influence of the U.S. air force's operational agility concept[J]. Military Digest, 2020, (15): 59- 62. | |
| 16 | 张巍, 姜大立. 战时前沿补给基地选址模型及其拉格朗日松弛算法研究[J]. 军事运筹与系统工程, 2019, 33 (2): 54- 61. |
| ZHANG W, JIANG D L. Research on the location model of wartime frontline supply bases and its lagrangian relaxation algorithm[J]. Military Operations Research and Assessment, 2019, 33 (2): 54- 61. | |
| 17 |
姜德良, 张韧, 葛珊珊. 知识不确定条件下的海外保障基地自然风险情景模拟评估[J]. 海洋通报, 2017, 36 (5): 504- 511,537.
doi: 10.11840/j.issn.1001-6392.2017.05.004 |
|
JIANG D L, ZHANG R, GE S S. Natural risk scenario simulation assessment of overseas support bases based on uncertain knowledge[J]. Marine Science Bulletin, 2017, 36 (5): 504- 511,537.
doi: 10.11840/j.issn.1001-6392.2017.05.004 |
|
| 18 | YIN Y Q, XU X R, WANG D J, et al. Two-stage recoverable robust optimization for an integrated location–allocation and evacuation planning problem[J]. Transportation Research Part B: Methodological, 2024, 182: 102906. |
| 19 | Department of Defense. JP 4-04 contingency basing[R]. Washington, D.C.: Department of Defense, 2019. |
| 20 | Air Force. AFIN 10-503 strategic basing[R]. Washington, D.C.: U.S. Air Force, 2020. |
| 21 | Air Force. AFDN 1-21 agile combat employment[R]. Washington, D.C.: U.S. Air Force, 2021. |
| 22 | PATRICK M, JAMES A L, JOHN G D. Building agile combat support competencies to enable evolving adaptive basing concepts[R]. Santa Monica: RAND , 2020. |
| 23 | JAMES A L, KATHERINE C H, VIKRAM K. Advancing combat support to sustain agile combat employment concepts[R]. Santa Monica: RAND, 2023. |
| 24 |
曾涛, 胡昆, 罗三定. 战术导弹打击机场跑道毁伤概率[J]. 火力与指挥控制, 2009, 34 (4): 156- 159,162.
doi: 10.3969/j.issn.1002-0640.2009.04.044 |
|
ZENG T, HU K, LUO S D. Research on damage probability for striking airdrome runway by the tactical missiles[J]. Fire Control and Command Control, 2009, 34 (4): 156- 159,162.
doi: 10.3969/j.issn.1002-0640.2009.04.044 |
|
| 25 |
陈一村, 赵健, 陶西贵, 等. 美空军分布式作战基地探析[J]. 防护工程, 2022, 44 (5): 62- 67.
doi: 10.3969/j.issn.1674-1854.2022.05.011 |
|
CHEN Y C, ZHAO J, TAO X G, et al. Analysis on the concept of USAF distributed operation bases[J]. Protective Engineering, 2022, 44 (5): 62- 67.
doi: 10.3969/j.issn.1674-1854.2022.05.011 |
|
| 26 |
LIU S X, PEI C B, YE X D. Efficient sampling strategy driven surrogate-based multi-objective optimization for broadband microwave metamaterial absorbers[J]. Journal of Systems Engineering and Electronics, 2024, 35 (6): 1388- 1396.
doi: 10.23919/JSEE.2024.000036 |
| 27 |
ZHOU Z Y, WANG Y H, WU Q X. Integrated fire/flight control of armed helicopters based on C-BFGS and distributionally robust optimization[J]. Journal of Systems Engineering and Electronics, 2024, 35 (6): 1604- 1620.
doi: 10.23919/JSEE.2024.000120 |
| 28 |
YANG K W, XIA B Y, CHEN G, et al. Multi-objective optimization of operation loop recommendation for kill web[J]. Journal of Systems Engineering and Electronics, 2022, 33 (4): 969- 985.
doi: 10.23919/JSEE.2022.000094 |
| 29 | PENG C H, XIONG Z H, ZHANG Y, et al. Robust optimization allocation for energy storage using a novel confidence gap decision method[J]. International Journal of Electrical Power and Energy Systems, 2022, 138: 107902. |
| [1] | 李延通, 李子璠, 周姗姗, 张闯. 无人机光伏电站巡检双目标选址-路径问题研究[J]. 系统工程与电子技术, 2025, 47(8): 2612-2621. |
| [2] | 羊钊, 胡锦标, 王艳, 齐洪彪. 考虑异巢起降的无人机山地巡检覆盖路径规划[J]. 系统工程与电子技术, 2025, 47(8): 2622-2631. |
| [3] | 顾汉清, 杨卓, 张鹏, 温晓雯. 针对巨型星座下行通信链路的分布式干扰仿真研究[J]. 系统工程与电子技术, 2025, 47(11): 3834-3843. |
| [4] | 洪涛, 王凡, 李治, 钟志伟, 丁晓进, 刘子威, 张更新. 业务驱动的低轨卫星物联网终端模态切换方法[J]. 系统工程与电子技术, 2024, 46(8): 2867-2876. |
| [5] | 许强强, 柴华. 基于NSGA-Ⅱ的车载光学测量设备任务调度方案优化[J]. 系统工程与电子技术, 2024, 46(7): 2393-2400. |
| [6] | 陈浩, 孙刚, 彭双, 伍江江. 基于多目标优化的测控数传资源动态重调度方法[J]. 系统工程与电子技术, 2024, 46(11): 3744-3753. |
| [7] | 刘俊, 崔宁, 谢佳昕, 行坤. 基于NSGA-Ⅲ的机载雷达空空射频隐身探测参数设计[J]. 系统工程与电子技术, 2024, 46(1): 97-104. |
| [8] | 高泽伦, 郑少秋, 梁汝鹏, 黄炎焱. 超网络体系作战下的打击目标优选模型[J]. 系统工程与电子技术, 2024, 46(1): 182-189. |
| [9] | 王力尧, 张进, 周洪喜, 王柯茂. 基于物理规划的多星多站访问规划[J]. 系统工程与电子技术, 2023, 45(8): 2514-2520. |
| [10] | 翟宏州, 张华, 吴琳娜, 卜鹤群, 龚凯翔. 基于协同平衡的可靠性冗余设计优化算法[J]. 系统工程与电子技术, 2023, 45(12): 4084-4089. |
| [11] | 胡杰, 鲍帆, 石潇竹. 基于贪婪-遗传算法的机场登机口分配策略[J]. 系统工程与电子技术, 2023, 45(11): 3555-3564. |
| [12] | 闫世瑛, 颜克斐, 方伟, 陆恒杨. 基于差分进化邻域自适应的大规模多目标算法[J]. 系统工程与电子技术, 2022, 44(7): 2112-2124. |
| [13] | 刘乾, 鲁云军, 陈克斌, 韩梦瑶, 郭亮. 任务主体二元约束下作战任务分解EVA方法[J]. 系统工程与电子技术, 2022, 44(7): 2201-2210. |
| [14] | 王春政, 胡明华, 杨磊, 赵征. 空中交通延误预测研究综述[J]. 系统工程与电子技术, 2022, 44(3): 863-874. |
| [15] | 来磊, 邹鲲, 吴德伟, 李保中. 交互策略改进MOFA进化的多UAV协同航迹规划[J]. 系统工程与电子技术, 2021, 43(8): 2282-2289. |
| 阅读次数 | ||||||
|
全文 |
|
|||||
|
摘要 |
|
|||||