

系统工程与电子技术 ›› 2026, Vol. 48 ›› Issue (2): 627-637.doi: 10.12305/j.issn.1001-506X.2026.02.23
• 系统工程 • 上一篇
收稿日期:2024-10-17
修回日期:2025-03-29
出版日期:2025-06-11
发布日期:2025-06-11
通讯作者:
刘科
E-mail:liuke14@alumni.nudt.edu.cn
作者简介:曾 行(1990—),男,工程师,硕士,主要研究方向为飞行器设计
Ke LIU1,*(
), Xing ZENG2, Xinlong LI3
Received:2024-10-17
Revised:2025-03-29
Online:2025-06-11
Published:2025-06-11
Contact:
Ke LIU
E-mail:liuke14@alumni.nudt.edu.cn
摘要:
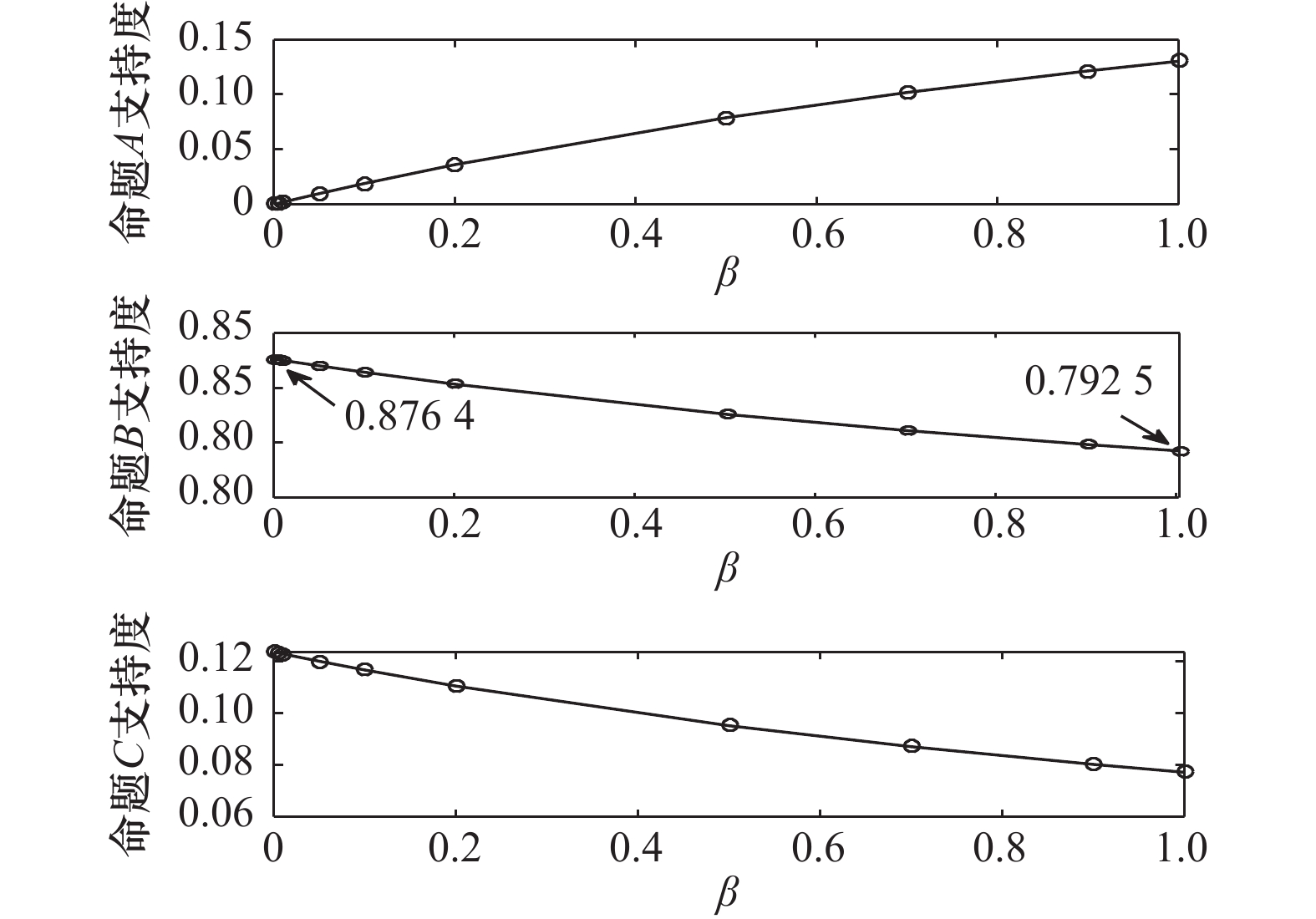
针对数据融合与决策过程中存在的不确定性问题,尤其是冲突悖论问题,提出基于改进策略的Dempster-Shafer (DS)证据融合算法。算法通过对证据体在约束条件下进行“调增”和“调减”修改,实现证据支持度重新分配,进而支持利用DS证据理论合成公式获得更加可靠、合理、稳定、准确的数据融合结果,同时引入Jensen-Shannon散度概念对算法参数与散度计算结果之间的关系进行量化分析。采用包含全冲突悖论、0信任悖论、1信任悖论、高冲突悖论等在内的8个冲突悖论案例对算法进行仿真分析,明确算法参数取值范围,并与现有多种改进算法进行结果比较。结果表明,当算法调增量取值介于最小概率值的0.775~0.999倍时,算法在最大限度保留原始数据分布特点的基础上能够获得符合人类正常认知的结果。最后,将该算法进一步应用于目标意图推理,该算法能够得到准确的数据融合和推理结果。
中图分类号:
刘科, 曾行, 李鑫龙. 基于改进策略的DS证据融合算法[J]. 系统工程与电子技术, 2026, 48(2): 627-637.
Ke LIU, Xing ZENG, Xinlong LI. DS evidence fusion algorithm based on improved strategy[J]. Systems Engineering and Electronics, 2026, 48(2): 627-637.
| 1 | ZHOU C, XU D, CAO Z D. Multi-source data fusion method of equipment maintainability based on improved DS evidence theory[C]// Proc. of the 5th International Conference on System Reliability and Safety Engineering, 2023. |
| 2 |
刘庆利, 王文广, 张学翠, 等. 基于改进DS证据理论的指挥控制系统信息融合方法[J]. 火力与指挥控制, 2022, 47 (2): 82- 87.
doi: 10.3969/j.issn.1002-0640.2022.02.014 |
|
LIU Q L, WANG W G, ZHANG X C, et al. Information fusion method of command and control system based on improved DS evidence theory[J]. Fire Control & Command Control, 2022, 47 (2): 82- 87.
doi: 10.3969/j.issn.1002-0640.2022.02.014 |
|
| 3 |
SAHU A, DAVIS K. Inter-domain fusion for enhanced intrusion detection in power systems: an evidence theoretic and meta-heuristic approach[J]. Sensors, 2022, 22 (6): 2100.
doi: 10.3390/s22062100 |
| 4 |
SANCHEZ L, VASILE M, SANVIDO S, et al. Treatment of epistemic uncertainty in conjunction analysis with Dempster-Shafer theory[J]. Advances in Space Research, 2024, 74 (11): 5639- 5686.
doi: 10.1016/j.asr.2024.09.014 |
| 5 | LIU J H, ZHANG P, SUN J, et al. Automatic recognition method of relative position and pose between rescue robot and stairs[C]// Proc. of the 18th Chinese Intelligent Systems Conference, 2022. |
| 6 | LIU P G, HE P, GAO X B, et al. Research on multi-sensor fusion algorithm based on improved DS evidence theory[C]// Proc. of the 15th International Conference on Communication Software and Networks, 2023. |
| 7 |
徐浩, 邢清华, 王伟. 基于DST-IFS的空中目标敌我属性综合识别[J]. 系统工程与电子技术, 2017, 39 (8): 1757- 1764.
doi: 10.3969/j.issn.1001-506X.2017.08.14 |
|
XU H, XING Q H, WANG W. Integrated air target identification of friend or foe based on DST-IFS[J]. Systems Engineering and Electronics, 2017, 39 (8): 1757- 1764.
doi: 10.3969/j.issn.1001-506X.2017.08.14 |
|
| 8 | KHAN N, ANWAR S. Improved Dempster-Shafer sensor fusion using distance function and evidence weighted penalty: application in object detection[C]// Proc. of the 16th International Conference on Informatics in Control, Automation and Robotics, 2019. |
| 9 | GUO G H, LIU X B. The application and improvement of Dempster-Shafer evidence theory in communication signal recognition[C]// Proc. of the 5th Global Symposium on Millimeter-Waves, 2012. |
| 10 |
LIU N K, ZHOU Z F, ZHU L J, et al. Fault diagnosis of unmanned aerial systems using the Dempster-Shafer evidence theory[J]. Actuators, 2024, 13 (7): 264.
doi: 10.3390/act13070264 |
| 11 | LIU H B, MA Z Y, DENG X Y, et al. A new method to air target threat evaluation based on Dempster-Shafer evidence theory[C]// Proc. of the 30th Chinese Control and Decision Conference, 2018. |
| 12 | BAI L, DU C L, CHEN J C. An information fusion positioning algorithm based on extended Dempster-Shafer evidence theory[C]// Proc. of the International Conference on Sensing, Diagnostics, Prognostics, and Control, 2019. |
| 13 |
CHEN Y T, WANG Y, ZHAO Y B. A room-level indoor localization using an energy-harvesting BLE tag[J]. Electronics, 2024, 13 (22): 4493.
doi: 10.3390/electronics13224493 |
| 14 | WANG Y, LIU D S, YANG Y, et al. Target identity fusion method based on improved DS evidence theory[C]// Proc. of the 3rd International Conference on Electronic Information Engineering and Computer, 2023. |
| 15 |
PETTURITI D, VANTAGGI B. Upper and lower conditional probabilities induced by a multivalued mapping[J]. Journal of Mathematical Analysis and Applications, 2018, 458 (2): 1214- 1235.
doi: 10.1016/j.jmaa.2017.10.006 |
| 16 | SHAFER G. A mathematical theory of evidence turns 40[J]. International Journal of Approximate Reasoning, 2016, 79 (SI): 7- 25. |
| 17 |
ZHAO K Y, QIN P L, CAI S H, et al. A generalized weighted evidence fusion algorithm based on quantum modeling[J]. Information Sciences, 2024, 683, 121285.
doi: 10.1016/j.ins.2024.121285 |
| 18 | WANG Y B, XU X L, ZHAO Z Y, et al. Multisensors time-series change point detection in wireless sensor networks based on deep evidential fusion and self-distillation learning[J]. IEEE Internet of Things Journal, 2025, 12 (1): 1047- 1063. |
| 19 | 李志强, 徐廷学, 顾钧元, 等. 融合不确定信息的某型导弹控制系统可靠性分析方法[J]. 系统工程与电子技术, 2017, 39 (12): 2869−2876. |
| LI Z Q, XU T X, GU J Y, et al. Reliability analysis of a missile control system by fusing uncertain information[J]. Systems Engineering and Electronics, 2017, 39 (12): 2869−2876. | |
| 20 |
ZHANG X Z, LI J L, LI C, et al. Multi-teacher D-S fusion for semi-supervised SAR ship detection[J]. Remote Sensing, 2024, 16 (15): 2759.
doi: 10.3390/rs16152759 |
| 21 | YANG X, XIAO F Y. A novel uncertainty modeling method in complex evidence theory for decision making[J]. Engineering Applications of Artificial Intelligence, 2024, 133 (C): 108164. |
| 22 |
HUANG Y C, XIAO F Y, CAO Z H, et al. Fractal belief renyi divergence with its applications in pattern classification[J]. IEEE Trans. on Knowledge and Data Engineering, 2024, 36 (12): 8297- 8312.
doi: 10.1109/TKDE.2023.3342907 |
| 23 | HUANG J J, XIAO F Y. Complex belief divergence measures for multisource information fusion[J]. IEEE Trans. on Systems, Man, and Cybernetics: Systems, 2025, 55 (2): 948- 962. |
| 24 | LIU Z. A new sine similarity measure based on evidence theory for conflict management [J]. Communications in Statistics-Theory and Methods, 2025, 54(11): 3350−3366. |
| 25 | DENG X Y, JIANG W. Upper bounds of uncertainty for Dempster combination rule-based evidence fusion systems[J]. IEEE Trans. on Systems, Man, and Cybernetics: Systems, 2025, 55 (1): 817- 828. |
| 26 |
张山鹰, 潘泉, 张洪才. 证据推理冲突问题研究[J]. 航空学报, 2001, 22 (4): 369- 372.
doi: 10.3321/j.issn:1000-6893.2001.04.019 |
|
ZHANG S Y, PAN Q, ZHANG H C. Conflict problem of Dempster-Shafer evidence theory[J]. Acta Aeronautica et Astronautica Sinica, 2001, 22 (4): 369- 372.
doi: 10.3321/j.issn:1000-6893.2001.04.019 |
|
| 27 |
LIU Z G, PAN Q, DEZERT J. Classification of uncertain and imprecise data based on evidence theory[J]. Neurocomputing, 2014, 133, 459- 470.
doi: 10.1016/j.neucom.2013.12.009 |
| 28 | TIAN T, MING D L. Fusion of multi-measures in infrared target recognition based on Dempster-Shafer evidence theory[C]// Proc. of the 7th International Symposium on Multispectral Image Processing and Pattern Recognition, 2011. |
| 29 |
张兵, 卢焕章. 多传感器自动目标识别中的冲突证据组合方法[J]. 系统工程与电子技术, 2006, 28 (6): 857- 860.
doi: 10.3321/j.issn:1001-506X.2006.06.020 |
|
ZHANG B, LU H Z. Combination method of conflict evidence in multi-sensor automatic target recognition[J]. Systems Engineering and Electronics, 2006, 28 (6): 857- 860.
doi: 10.3321/j.issn:1001-506X.2006.06.020 |
|
| 30 |
郭华伟, 施文康, 刘清坤, 等. 一种新的证据组合规则[J]. 上海交通大学学报, 2006, 40 (11): 1895- 1900.
doi: 10.3321/j.issn:1006-2467.2006.11.018 |
|
GUO H W, SHI W K, LIU Q K, et al. A new combination rule of evidence[J]. Journal of Shanghai Jiaotong University, 2006, 40 (11): 1895- 1900.
doi: 10.3321/j.issn:1006-2467.2006.11.018 |
|
| 31 | DEZERT J, WANG P, TCHAMOVA A. On the validity of Dempster-Shafer theory[C]// Proc. of the 15th International Conference on Information Fusion, 2012. |
| 32 | TCHAMOVA A, DEZERT J. On the behavior of Dempster’s rule of combination and the foundations of Dempster-Shafer theory[C]// Proc. of the 6th IEEE International Conference Intelligent Systems, 2012. |
| 33 | 陈杰. 基于DS证据理论的决策融合算法研究[D]. 哈尔滨: 哈尔滨工程大学, 2016. |
| CHEN J. Research of decision fusion algorithm based on DS evidence theory[D]. Harbin: Harbin Engineering University, 2016. | |
| 34 |
LIU P L, XIAO F Y. Earth mover’s divergence of belief function[J]. Computational and Applied Mathematics, 2022, 41 (6): 292.
doi: 10.1007/s40314-022-02000-3 |
| 35 |
CHEN L Y, DENG Y, CHEONG K H. Permutation Jensen–Shannon divergence for random permutation set[J]. Engineering Applications of Artificial Intelligence, 2023, 119, 105701.
doi: 10.1016/j.engappai.2022.105701 |
| 36 |
ZHANG F X, CHEN Z C, CAI R. A reinforced final belief divergence for mass functions and its application in target recognition[J]. Applied Intelligence, 2025, 55 (2): 135.
doi: 10.1007/s10489-024-05955-4 |
| 37 |
孙全, 叶秀清, 顾伟康. 一种新的基于证据理论的合成公式[J]. 电子学报, 2000, 28 (8): 117- 119.
doi: 10.3321/j.issn:0372-2112.2000.08.036 |
|
SUN Q, YE X Q, GU W K. A new combination rules of evidence theory[J]. Acta Electronica Sinica, 2000, 28 (8): 117- 119.
doi: 10.3321/j.issn:0372-2112.2000.08.036 |
|
| 38 |
MURPHYC K. Combining belief functions when evidence conflicts[J]. Decision Support Systems, 2000, 29 (1): 1- 9.
doi: 10.1016/S0167-9236(99)00084-6 |
| 39 |
YAGER R R. On the Dempster-Shafer framework and new combination rules[J]. Information Sciences, 1987, 41 (2): 93- 137.
doi: 10.1016/0020-0255(87)90007-7 |
| 40 |
韩峰, 杨万海, 袁晓光. 一种有效处理冲突证据的组合方法[J]. 电光与控制, 2010, 17 (4): 5- 8.
doi: 10.3969/j.issn.1671-637X.2010.04.002 |
|
HAN F, YANG W H, YUAN X G. An efficient approach for conflict evidence combination[J]. Electronics Optics & Control, 2010, 17 (4): 5- 8.
doi: 10.3969/j.issn.1671-637X.2010.04.002 |
|
| 41 | 张欢, 陆见光, 唐向红. 面向冲突证据的改进DS证据理论算法[J]. 北京航空航天大学学报, 2020, 46 (3): 616- 623. |
| ZHANG H, LU J G, TANG X H. An improved DS evidence theory algorithm for conflict evidence[J]. Journal of Beijing University of Aeronautics and Astronautics, 2020, 46 (3): 616- 623. | |
| 42 |
HORIUCHI T. Decision rule for pattern classification by integrating interval feature values[J]. IEEE Trans. on Pattern Analysis and Machine Intelligence, 1998, 20 (4): 440- 448.
doi: 10.1109/34.677286 |
| 43 |
李弼程, 王波, 魏俊, 等. 一种有效的证据理论合成公式[J]. 数据采集与处理, 2002, 17 (1): 33- 36.
doi: 10.3969/j.issn.1004-9037.2002.01.008 |
|
LI B C, WANG B, WEI J, et al. An efficient combination rule of evidence theory[J]. Journal of Data Acquisition & Processing, 2002, 17 (1): 33- 36.
doi: 10.3969/j.issn.1004-9037.2002.01.008 |
|
| 44 | 康健. 基于多传感器信息融合关键技术的研究[D]. 哈尔滨: 哈尔滨工程大学, 2013. |
| KANG J. The key technology research of multi-sensors information fusion[D]. Harbin: Harbin Engineering University, 2013. | |
| 45 | 陈博, 万寿红, 岳丽华. 改进的DS证据舰船融合检测研究[J]. 计算机工程与应用, 2010, 46 (28): 222- 224. |
| CHEN B, WAN S H, YUE L H. Study on ship detection with improved Dempster-Shafer theory[J]. Computer Engineering and Applications, 2010, 46 (28): 222- 224. | |
| 46 | YAO J F, WU C P, XIE X B, et al. A new method of information decision-making based on D-S evidence theory[C]// Proc. of the IEEE International Conference on Systems, Man and Cybernetics, 2010. |
| 47 |
FLOREA M C, JOUSSELME A L, BOSSE E, et al. Robust combination rules for evidence theory[J]. Information Fusion, 2009, 10 (2): 183- 197.
doi: 10.1016/j.inffus.2008.08.007 |
| 48 | LEFEVRE E, COLOT O, VANNOOREN-BERGHE P, et al. A generic framework for resolving the conflict in the combination of belief structures[C]// Proc. of the 3rd International Conference on Information Fusion, 2000. |
| 49 | JOSANG A, DANIEL M, VANNOOREN-BERGHE P. Strategies for combining conflicting dogmatic beliefs[C]// Proc. of the 6th International Conference on Information Fusion, 2003. |
| 50 |
陈黎, 李芳芳, 邹长虹. 基于动态贝叶斯网络和模板匹配的空中目标意图识别[J]. 现代防御技术, 2023, 51 (2): 62- 70.
doi: 10.3969/j.issn.1009-086x.2023.02.008 |
|
CHEN L, LI F F, ZOU C H. Intension recognition of air-defense target based on dynamic Bayesian network and template matching[J]. Modern Defense Technology, 2023, 51 (2): 62- 70.
doi: 10.3969/j.issn.1009-086x.2023.02.008 |
| [1] | 于昊天, 关欣. 基于证据推理的航迹关联检验判决方法[J]. 系统工程与电子技术, 2025, 47(9): 2818-2827. |
| [2] | 吴钇达, 王彩云, 王佳宁, 李晓飞. 基于ISVM-DS的红外多传感器融合识别方法[J]. 系统工程与电子技术, 2024, 46(5): 1555-1560. |
| [3] | 郑丽莎, 尹东亮, 王旋. 基于改进D-S证据理论的相控阵雷达作战效能评估[J]. 系统工程与电子技术, 2024, 46(4): 1330-1336. |
| [4] | 任文娟, 杨战鹏, 许光銮, 付琨. 海上动目标身份置信度融合计算模型[J]. 系统工程与电子技术, 2023, 45(4): 1082-1089. |
| [5] | 苑申昊, 陈增茂, 刁鸣, 孙志国, 孙溶辰. 基于复合熵和证据理论的抗SSDF攻击协作频谱感知方法[J]. 系统工程与电子技术, 2023, 45(11): 3663-3670. |
| [6] | 刘康, 何明浩, 韩俊, 王庚. 基于本征向量和Jousselme距离的高冲突证据融合方法[J]. 系统工程与电子技术, 2022, 44(7): 2175-2180. |
| [7] | 王旋, 狄鹏, 尹东亮. 基于Lance距离和信度熵的冲突证据融合方法[J]. 系统工程与电子技术, 2022, 44(2): 592-602. |
| [8] | 关欣, 于昊天, 衣晓. 证据独立性及其对目标识别的影响研究[J]. 系统工程与电子技术, 2022, 44(1): 192-198. |
| [9] | 王亮, 卢湛夷, 李卓禹. 基于粗糙集和证据理论的设备状态评估方法[J]. 系统工程与电子技术, 2020, 42(1): 141-147. |
| [10] | 陈宇奇, 徐廷学, 李志强, 李海君. 基于证据GO法的复杂多态系统动态可靠性分析[J]. 系统工程与电子技术, 2020, 42(1): 230-237. |
| [11] | 沈延安, 张君彪. 基于云模型和证据理论的装备管理绩效评价[J]. 系统工程与电子技术, 2019, 41(5): 1049-1055. |
| [12] | 韦可佳, 耿俊豹, 徐孙庆. 基于模糊理论与D-S证据理论的FMEA方法[J]. 系统工程与电子技术, 2019, 41(11): 2662-2668. |
| [13] | 王伟, 刘付显, 徐浩. 基于证据理论的群体研讨建模[J]. 系统工程与电子技术, 2018, 40(3): 603-608. |
| [14] | 高晓阳, 王刚. 基于改进时域证据融合的目标识别[J]. 系统工程与电子技术, 2018, 40(12): 2629-2635. |
| [15] | 逯程, 徐廷学, 王虹. 基于联合局域相关向量机的雷达导引头状态预测方法[J]. 系统工程与电子技术, 2018, 40(1): 9-16. |
| 阅读次数 | ||||||
|
全文 |
|
|||||
|
摘要 |
|
|||||