

系统工程与电子技术 ›› 2026, Vol. 48 ›› Issue (2): 466-477.doi: 10.12305/j.issn.1001-506X.2026.02.09
• 传感器与信号处理 • 上一篇
吕卓宇1,2, 文才1,*, 任蓝风1, 孟一诺1
收稿日期:2024-08-27
修回日期:2025-01-29
出版日期:2025-11-06
发布日期:2025-11-06
通讯作者:
文才
作者简介:吕卓宇(1999—),男,硕士研究生,主要研究方向为雷达信号处理Zhuoyu LYU1,2, Cai WEN1,*, Lanfeng REN1, Yinuo MENG1
Received:2024-08-27
Revised:2025-01-29
Online:2025-11-06
Published:2025-11-06
Contact:
Cai WEN
摘要:
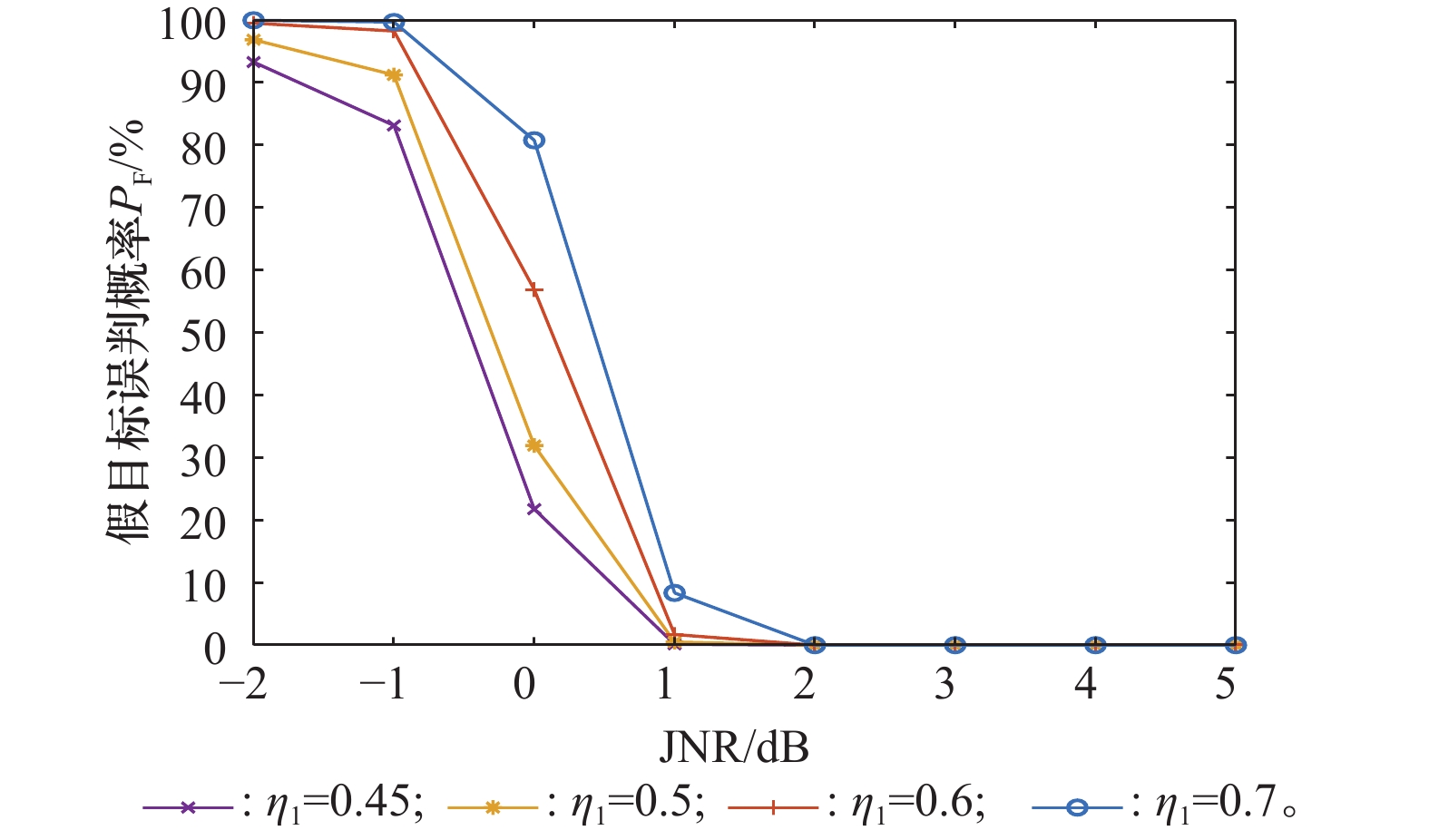
针对转发式欺骗干扰鉴别问题,基于机载分布式雷达提出一种滤波器失配误差校正与相关系数联合的真假目标鉴别算法。首先分析各种同步误差对真假目标相关性的影响,然后构造精确匹配滤波器对接收信号进行滤波消除失配误差,接着计算所有目标信号矢量之间的相关系数构建出相关系数矩阵,并对其进行量化,从而利用真实目标信号与虚假目标信号相关性存在差异的特点,对真实目标与虚假目标进行鉴别。最后仿真实验结果表明,与现有方法相比, 在真目标识别概率和干噪比相同情况下,所提算法的假目标误判概率更低,可验证所提算法的有效性。
中图分类号:
吕卓宇, 文才, 任蓝风, 孟一诺. 基于滤波器失配误差校正与相关系数联合的机载分布式雷达欺骗式干扰鉴别算法[J]. 系统工程与电子技术, 2026, 48(2): 466-477.
Zhuoyu LYU, Cai WEN, Lanfeng REN, Yinuo MENG. Deception jamming identification algorithm based on filter mismatch error correction and correlation coefficients for airborne distributed radar[J]. Systems Engineering and Electronics, 2026, 48(2): 466-477.
| 1 |
LI Q, ZHANG L R, ZHOU Y, et al. Hermitian distance-based method to discriminate physical targets and active false targets in a distributed multiple-radar architecture[J]. IEEE Sensors Journal, 2019, 19 (22): 10432- 10442.
doi: 10.1109/JSEN.2019.2926414 |
| 2 | GAO J, ZHU S Q, LAN L, et al. Mainlobe deceptive jammer suppression with DEPC MIMO radar with joint transmit-receive design[J]. Signal Processing, 2024: 109424. |
| 3 | ZHANG J D, ZHU D Y, ZHANG G. New antivelocity deception jamming technique using pulses with adaptive initial phases[J]. IEEE Trans. on Aerospace & Electronic Systems , 2013, 49(2): 1290−1300. |
| 4 |
LI Y, WANG J, WANG Y, et al. Random frequency coded waveform optimization and signal coherent accumulation against compound deception jamming[J]. IEEE Trans. on Aerospace and Electronic Systems, 2023, 59 (4): 4434- 4449.
doi: 10.1109/TAES.2023.3243884 |
| 5 |
崔国龙, 樊涛, 孔昱凯, 等. 机载雷达脉间波形参数伪随机跳变技术[J]. 雷达学报, 2022, 11 (2): 213- 226.
doi: 10.12000/JR21189 |
|
CUI G L, FAN T, KONG Y K, et al. Pseudo-random agility technology for interpulsewaveform parameters in airborne radar[J]. Journal of Radars, 2022, 11 (2): 213- 226.
doi: 10.12000/JR21189 |
|
| 6 |
CUI G L, JI H M, CAROTENUTO V, et al. Anadaptive sequential estimation algorithm for velocity jamming suppression[J]. Signal Processing, 2017, 134, 70- 75.
doi: 10.1016/j.sigpro.2016.11.012 |
| 7 | ZHANG S, YANG Y, CUI G L, et al. Range velocity jamming suppression algorithm based on adaptive iterative filtering[C]//Proc. of the IEEE Radar Conference, 2016. |
| 8 | SONG L Z, QIAO X L, MENG X D, et al. Study on the method of polarization suppression of cheating jamming in pulse Doppler radar[J]. Journal of Systems Engineering and Electronics, 2005, 16 (2): 310- 315. |
| 9 | 李永祯, 申绪涧, 汪连栋, 等. 基于辅天线的有源假目标欺骗干扰的极化识别[J]. 信号处理, 2008, 24(1): 24−27. |
| LI Y Z, SHEN X J, WANG L D, et al. Polarization identification algorithm of active-decoys and radar targets based on sidelobe-canceller antenna[J]. Signal Processing, 2008, 24(1): 24−27. | |
| 10 | 饶彬. 对抗条件下弹道目标的雷达跟踪技术研究[D]. 长沙: 国防科技大学, 2011. |
| RAO B. Research on radar tracking technology for ballistic targets under adversarial conditions[D]. Changsha: National University of Defense Technology, 2011. | |
| 11 | RAO B, ZHAO Y L, XIAO S P, et al. Discrimination of exo-atmospheric active decoys using acceleration information[J]. IET Radar, Sonar & Navigation, 2010, 4 (4): 626- 638. |
| 12 | FARINA A, GINI F, GRECO M. Combined effect of phase and RGPO delay quantization on jamming signal spectrum[C]//Proc. of the IEEE Radar Conference, 2005: 37−42. |
| 13 |
GRECO M, GINI F, FARINA A. Radar detection and classification of jamming signals belonging to a cone class[J]. IEEE Trans. on Signal Processing, 2008, 56 (5): 1984- 1993.
doi: 10.1109/TSP.2007.909326 |
| 14 |
ZHAO S S, AN J R, XIE B, et al. A parameter estimation-based anti-deception jamming method for RIS-aided single-station radar[J]. Remote Sensing, 2024, 16 (23): 4453.
doi: 10.3390/rs16234453 |
| 15 | 张林让, 赵珊珊. 网络化雷达协同抗欺骗式 干扰技术研究进展[J]. 数据采集与处理, 2014, 29(4): 516−525. |
| ZHANG L R, ZHAO S S. Research advance on cooperative anti-deception jamming in netted radar[J]. Journal of Data Acquisition and Processing, 2014, 29(4): 516−525. | |
| 16 | WANG B, CUI G L, ZHANG S, et al. Deceptive jamming suppression based on coherent cancelling in multistatic radar system[C]//Proc. of the IEEE Radar Conference, 2016. |
| 17 | 赵珊珊, 张林让, 刘楠, 等. 利用幅度比特征进行有源假目标鉴别[J]. 西安电子科技大学学报, 2017, 44 (5): 51- 57,152. |
| ZHAO S S, ZHANG L R, LIU N, et al. Active false-target discrimination method based on the amplitude ratio feature[J]. Journal of Xidian University, 2017, 44 (5): 51- 57,152. | |
| 18 | 张洋. 雷达抗转发式欺骗干扰波形分集技术研究[D]. 哈尔滨: 哈尔滨工业大学, 2024. |
| ZHANG Y. Study on waveform diversity technology for radar anti-repeater deception jamming[D]. Harbin: Harbin Institute of Technology, 2024. | |
| 19 | 张璐航, 王峰. 基于盲源分离的多域联合抗主瓣欺骗式干扰[J]. 中国电子科学研究院学报, 2023, 18 (6): 489- 494. |
| ZHANG L H, WANG F. Multi-domain combination anti-mainlobe deception jamming based on blind source separation[J]. Journal of China Academy of Electronics and Information Technology, 2023, 18 (6): 489- 494. | |
| 20 |
WANG W, WU J, PEI J F, et al. An antideceptive jamming method for multistatic synthetic aperture radar based on collaborative localization and spatial suppression[J]. IEEE Journal of Selected Topics in Applied Earth Observations and Remote Sensing, 2020, 13, 2757- 2768.
doi: 10.1109/JSTARS.2020.2997345 |
| 21 |
邢孟道, 胡升晖, 林浩. 基于空时域滤波的欺骗式干扰抑制技术[J]. 现代雷达, 2024, 46 (2): 35- 41.
doi: 10.16592/j.cnki.1004-7859.2024.02.004 |
|
XING M D, HU S H, LIN H. Deceptive interference suppression technology based on spatio temporal filter[J]. Modern Radar, 2024, 46 (2): 35- 41.
doi: 10.16592/j.cnki.1004-7859.2024.02.004 |
|
| 22 |
何凯, 孙闽红, 王之腾. 基于时频图像色度差异的雷达智能抗欺骗干扰[J]. 弹箭与制导学报, 2022, 42 (3): 47- 54.
doi: 10.15892/j.cnki.djzdxb.2022.03.010 |
|
HE K, SUN M H, WANG Z T. Radar intelligent anti-deception jamming based on chromaticity difference of time-frequency image[J]. Journal of Projectiles, Rockets, Missiles and Guidance, 2022, 42 (3): 47- 54.
doi: 10.15892/j.cnki.djzdxb.2022.03.010 |
|
| 23 | WANG X, LIU Y Z, LIU J Z, et al. A novel anti-deception jamming method for bistatic MIMO radar based on fractional fourier transform and phase coding[J]. IEEE Trans. on Vehicular Technology, 2021, 70 (11): 11567- 11578. |
| 24 | ZHANG P F, LIU X Z, YANG J, et al. Anti-deception jamming algorithm for bistatic MIMO radar based on sparse representation and phase coding[J]. IEEE Trans. on Aerospace and Electronic Systems, 2020, 56 (4): 2760- 2773. |
| 25 |
YILDIRIM A, KIRANYAZ S. Smart binary phase-coding for pulse-compression radar: an electronic protection technique against repeater jamming[J]. IET Wireless Sensor Systems, 2024, 14 (3): 47- 55.
doi: 10.1049/wss2.12071 |
| 26 |
LIU Z, SUI J P, WEI Z H, et al. A sparse-driven anti-velocity deception jamming strategy based on pulse-Doppler radar with random pulse initial phases[J]. Sensors, 2018, 18 (4): 1249.
doi: 10.3390/s18041249 |
| 27 | 孙闽红, 丁辰伟, 张树奇, 等. 基于统计相关差异的多基地雷达拖引欺骗干扰识别[J]. 电子与信息学报, 2020, 42 (12): 2992- 2998. |
| SUN M H, DING C W, ZHANG S Q, et al. Recognition of deception jamming based on statistical correlation difference in a multistatic radar system[J]. Journal of Electronics & Information Technology, 2020, 42 (12): 2992- 2998. | |
| 28 |
LIU J Y, GONG M G, ZHANG M Y, et al. An anti-jamming method in multistatic radar system based on convolutional neural network[J]. IET Signal Processing, 2022, 16 (2): 220- 231.
doi: 10.1049/sil2.12085 |
| 29 |
ZHAO S S, YI M, LIU Z. Cooperative anti-deception jamming in a distributed multiple-radar system under registration errors[J]. Sensors, 2022, 22, 7216.
doi: 10.3390/s22197216 |
| 30 | 陈金铭, 王彤, 吴建新, 等. 基于滤波器网格失配的分布式相参雷达目标参数估计方法[J]. 系统工程与电子技术, 2019, 41 (11): 2460- 2470. |
| CHEN J M, WANG T, WU J X, et al. Target parameter estimation method for distributed coherent aperture radar based on grid mismatch filtering[J]. Systems Engineering and Electronics, 2019, 41 (11): 2460- 2470. | |
| 31 |
赵珊珊, 易民举, 刘子威, 等. 多干扰源下多站雷达抗欺骗式干扰方法[J]. 南京邮电大学学报(自然科学版), 2022, 42 (5): 15- 20.
doi: 10.14132/j.cnki.1673-5439.2022.05.003 |
|
ZHAO S S, YI M J, LIU Z W, et al. Deception ECCM for multiple jammer sources in distributed multiple-radar systems[J]. Journal of Nanjing University of Posts and Telecommunications (Natural Science Edition), 2022, 42 (5): 15- 20.
doi: 10.14132/j.cnki.1673-5439.2022.05.003 |
|
| 32 |
张磊, 罗迎, 张群. 雷达组网系统对抗有源干扰方法综述[J]. 信息对抗技术, 2023, 2 (6): 1- 16.
doi: 10.12399/j.issn.2097-163x.2023.06.001 |
|
ZHANG L, LUO Y, ZHANG Q. Review of countermeasures against active jamming for radar network[J]. Information Countermeasure Technology, 2023, 2 (6): 1- 16.
doi: 10.12399/j.issn.2097-163x.2023.06.001 |
| [1] | 高飞, 吴疆, 马俊, 刘佳, 张选民, 李彬, 蒙继东, 牛文博, 党红杏. 天基分布式雷达海面目标跟踪应用总体技术研究[J]. 系统工程与电子技术, 2024, 46(8): 2667-2675. |
| [2] | 李震, 何华锋, 周涛, 张鑫, 韩晓斐, 王栗沅. 基于UCA-FDA雷达距离补偿的DOA估计方法[J]. 系统工程与电子技术, 2024, 46(6): 1967-1974. |
| [3] | 张育豪, 朱圣棋, 曾操, 崔森, 石琦剑. EPC-MIMO雷达主瓣距离欺骗式干扰抑制方法[J]. 系统工程与电子技术, 2023, 45(3): 690-698. |
| [4] | 万福海, 许京伟, 张振荣. FDA-MIMO雷达稳健抗主瓣距离欺骗式干扰技术[J]. 系统工程与电子技术, 2022, 44(9): 2809-2816. |
| [5] | 张逸群, 兰岚, 廖桂生, 许京伟. 基于二次补偿的FDA-MIMO雷达抗主瓣欺骗式干扰方法[J]. 系统工程与电子技术, 2022, 44(9): 2769-2775. |
| [6] | 刘红亮, 陈超, 黄昆伟, 卢博, 岳凯. 针对分布式雷达网的多帧联合航迹起始方法[J]. 系统工程与电子技术, 2022, 44(7): 2143-2147. |
| [7] | 王文益, 龚婧, 王金铭. 基于SCB方差的GNSS欺骗式干扰检测算法[J]. 系统工程与电子技术, 2021, 43(8): 2254-2262. |
| [8] | 兰岚, 许京伟, 朱圣棋, 廖桂生, 张玉洪. 波形分集阵列雷达抗干扰进展[J]. 系统工程与电子技术, 2021, 43(6): 1437-1451. |
| [9] | 高霞, 全英汇, 李亚超, 朱圣棋, 邢孟道. 基于BSS的FDA-MIMO雷达主瓣欺骗式干扰抑制方法[J]. 系统工程与电子技术, 2020, 42(9): 1927-1934. |
| [10] | 兰岚, 廖桂生, 许京伟, 张玉洪. FDA-MIMO雷达主瓣距离欺骗式干扰抑制方法[J]. 系统工程与电子技术, 2018, 40(5): 997-1003. |
| [11] | 方敏, 程子扬, 何子述, 李军. 惯导误差下分布式雷达多目标空间配对算法[J]. 系统工程与电子技术, 2018, 40(2): 308-313. |
| [12] | 黄勇, 段锐, 张海, 颜光宇. 空间微动目标极化欺骗式干扰信号合成方法[J]. 系统工程与电子技术, 2017, 39(8): 1738-1743. |
| [13] | 谷文堃, 王党卫, 马晓岩. 分布式OFDM-MIMO雷达MTI处理[J]. 系统工程与电子技术, 2016, 38(8): 1794-1799. |
| [14] | 孟自强, 李亚超, 胡奇, 武春风, 邢孟道, 保铮. 弹载双基前视SAR建模及运动/同步误差分析[J]. 系统工程与电子技术, 2015, 37(3): 523-531. |
| [15] | 谷文堃, 王党卫, 马晓岩, 郑岱堃. 分布式OFDM-MIMO雷达非相参积累目标检测方法[J]. 系统工程与电子技术, 2015, 37(10): 2266-2271. |
| 阅读次数 | ||||||
|
全文 |
|
|||||
|
摘要 |
|
|||||