

系统工程与电子技术 ›› 2025, Vol. 47 ›› Issue (10): 3353-3366.doi: 10.12305/j.issn.1001-506X.2025.10.20
• 系统工程 • 上一篇
崔志强1,2, 贾红丽1,*, 郝冰1, 高丽丽1
收稿日期:2024-06-07
出版日期:2025-10-25
发布日期:2025-10-23
通讯作者:
贾红丽
作者简介:崔志强(1995—),男,硕士研究生,主要研究方向为装备维修器材管理与保障Zhiqiang CUI1,2, Hongli JIA1,*, Bing HAO1, Lili GAO1
Received:2024-06-07
Online:2025-10-25
Published:2025-10-23
Contact:
Hongli JIA
摘要:
针对装备维修器材保障需求确定难、响应时效慢、储存效果差等问题,提出一种基于群模糊层次分析法(group fuzzy analytic hierarchy process,GFAHP)和改进指标相关性的指标权重确定(criteria importance though intercrieria correlation,CRITIC)法的多准则妥协解排序(vlsekriterijumska optimizacija i kompromisno resenje,VIKOR)器材代储工厂决策方法。在构建装备维修器材代储工厂选优指标体系的基础上,结合主客观赋权各自优势,分别利用GFAHP和改进CRITIC对准则层和指标层赋权并组合。再采用VIKOR法对备选代储工厂进行排序以确定最优方案。通过案例分析比较了不同折衷系数、赋权方式、决策方法、选择场景对决策结果的影响。证明了所提方法的合理性和有效性。
中图分类号:
崔志强, 贾红丽, 郝冰, 高丽丽. 基于组合赋权VIKOR的器材代储工厂选择研究[J]. 系统工程与电子技术, 2025, 47(10): 3353-3366.
Zhiqiang CUI, Hongli JIA, Bing HAO, Lili GAO. Research on selection of equipment substitute storage plant based on combination weighting VIKOR[J]. Systems Engineering and Electronics, 2025, 47(10): 3353-3366.
表1
装备维修器材代储工厂选优指标体系"
| 准则层 | 指标层 | 定义 |
| 综合实力 | 市场占有率 | 特定器材销售占整个行业的市场份额 |
| 盈利能力 | 经营活动产生利润的能力 | |
| 信誉度 | 工厂在经营活动中遵守法律法规、维护用户权益、诚信经营等方面的综合表现 | |
| 专业资质 | 工厂拥有的专业资质和材料,如国家行业准入证书、保密认证证书等 | |
| 员工综合素质 | 员工技术水平 | 员工在特定器材生产维护拥有的专业知识和技能水平 |
| 技术专家比例 | 取得高级职称专家数量占全部技术人员的比重 | |
| 员工离职率 | 一定时期内工厂员工离职比重 | |
| 规范化管理水平 | 工厂对员工管理所采用的一系列标准化、系统化的管理方法和措施 | |
| 器材质量 | 器材合格率 | 一定数量的器材产品中,满足质量标准和性能要求的器材所占的比例 |
| 质量认证体系 | 供应器材能够持续满足的既定质量标准,如国家标准等 | |
| 器材返厂率 | 一定时间内,因质量问题、性能故障等需要返回工厂进行维修、更换或升级的器材数量与出厂产品总数的比例 | |
| 器材费用 | 器材单价 | 单件器材报价 |
| 存储维护费用 | 保证一定数量器材处于良好技术状况所消耗的存储及维护费用总和 | |
| 配送费用 | 一定数量器材由工厂配送至客户端所需的费用 | |
| 仓库保障条件 | 设施配套水平 | 为满足特定器材生产、存储和物流需求配备的设施、设备的完整程度 |
| 仓库使用空间 | 仓库内部可用于存放器材的空间 | |
| 仓库环境适应度 | 仓库的物理条件是否满足特定存储需求的能力,如温湿度控制、通风照明等 | |
| 生产交付能力 | 柔性生产能力 | 制造系统在没有大量成本损失的前提下,能够适应客户需求变化、生产不同型号、数量器材的能力 |
| 交货提前期 | 客户下订单到工厂完成订单并将其交付客户所需的全部时间,通常包括订单处理、生产、拣选、打包、运输等多个环节 | |
| 交货准确率 | 一定时间内,器材按照客户的要求准时、完整且无误地交付与出厂产品总数的比例 | |
| 地理及交通优势 | 器材工厂在地理位置和交通连接方面的有利条件 | |
| 服务水平 | 信息交流平台 | 为便于客户掌握器材调拨动态,工厂所提供的交流平台 |
| 售后服务能力 | 工厂在器材交付后向客户提供的支持和服务的总体表现,通常包括产品维护、修理、技术支持等 | |
| 客户满意度 | 客户对工厂提供的器材或服务体验的满足程度的一种度量,通常基于客户的期望与实际体验之间的比较 | |
| 创新能力 | 智能化水平 | 工厂在器材生产、存储、供应过程中应用信息技术、自动化技术、分析工具等,实现智能化管理的程度 |
| 研发经费投入 | 一定时间内,工厂实施研究与试验发展活动产生的全部经费 | |
| 产品研发能力 | 一定时间内,成功研发新型器材及配套产品的数量 | |
| 供应安全稳定性 | 原材料供应稳定性 | 原材料供应商能够持续、及时,并且以一致的质量标准向生产者提供所需原材料的能力 |
| 核心技术外购比例 | 工厂在器材生产所采用的核心技术中,通过外部采购方式获得的比例 | |
| 突发事件处理能力 | 工厂在面对突发危机或紧急情况,能够迅速、有效地采取行动以减轻负面影响、恢复正常运营的能力 |
表3
备选器材代储工厂指标数据"
| 准则层 | 指标层 | Y(1) | Y(2) | Y(3) | Y(4) | 主客观 | 类型 |
| 综合实力 | 市场占有率/% | 25 | 35 | 15 | 10 | 客观 | 效益型 |
| 盈利能力/万元 | 客观 | 效益型 | |||||
| 企业信誉度 | 0.9 | 0.9 | 0.7 | 0.7 | 主观 | 效益型 | |
| 专业资质/个 | 4 | 4 | 3 | 3 | 客观 | 效益型 | |
| 员工 综合素质 | 员工能力水平 | 0.9 | 0.8 | 0.85 | 0.8 | 主观 | 效益型 |
| 技术专家比例/% | 30 | 25 | 15 | 12 | 客观 | 效益型 | |
| 员工离职率/% | 5 | 3 | 10 | 5 | 客观 | 成本型 | |
| 规范化管理水平 | 0.8 | 0.9 | 0.8 | 0.7 | 主观 | 效益型 | |
| 器材质量 | 器材合格率/% | 98 | 96 | 93 | 95 | 客观 | 效益型 |
| 质量认证体系/个 | 5 | 4 | 3 | 3 | 客观 | 效益型 | |
| 器材返厂率/% | 3 | 6 | 3 | 4 | 客观 | 成本型 | |
| 器材费用 | 器材单价/(万元/件) | 55.4 | 49.7 | 53.2 | 57.3 | 客观 | 成本型 |
| 存储维护费用/(万元/年) | 1.3 | 0.78 | 1.7 | 0.6 | 客观 | 成本型 | |
| 配送费用/次 | 0.3 | 0.5 | 0.5 | 0.5 | 客观 | 成本型 | |
| 仓库 保障条件 | 设施配套水平 | 0.9 | 0.8 | 0.7 | 0.7 | 主观 | 效益型 |
| 仓库使用空间/ | 客观 | 效益型 | |||||
| 仓库环境适应度 | 0.85 | 0.7 | 0.82 | 0.6 | 主观 | 效益型 | |
| 生产 交付能力 | 柔性生产综合能力/% | 75 | 80 | 60 | 60 | 客观 | 效益型 |
| 交货提前期/天 | 7 | 10 | 15 | 15 | 客观 | 效益型 | |
| 交货准确率/% | 90 | 85 | 80 | 80 | 客观 | 效益型 | |
| 地理及交通优势 | 0.9 | 0.7 | 0.8 | 0.7 | 主观 | 效益型 | |
| 服务水平 | `信息交流平台 | 0.75 | 0.9 | 0.75 | 0.75 | 主观 | 效益型 |
| 售后服务能力 | 0.9 | 0.85 | 0.5 | 0.7 | 主观 | 效益型 | |
| 客户满意度/% | 98 | 95 | 90 | 92 | 客观 | 效益型 | |
| 创新能力 | 智能化生产水平 | 0.8 | 0.65 | 0.2 | 0.4 | 主观 | 效益型 |
| 研发经费投入比重/% | 10 | 5 | 5 | 3 | 客观 | 效益型 | |
| 产品研发能力/个 | 57 | 38 | 21 | 15 | 客观 | 效益型 | |
| 供应安全 稳定性 | 原材料供应稳定性 | 0.85 | 0.8 | 0.7 | 0.7 | 主观 | 效益型 |
| 核心技术外购比例/% | 10 | 25 | 30 | 35 | 客观 | 成本型 | |
| 突发事件处理能力 | 0.85 | 0.85 | 0.7 | 0.8 | 主观 | 效益型 |
表4
专家1准则层重要度评分情况"
| 专家1 | 企业综合实力 | 员工综合素质 | 器材质量 | 器材费用 | 仓库保障条件 | 生产交付能力 | 服务水平 | 创新能力 | 供应安全稳定性 |
| 企业综合实力 | 0.5 | 0.6 | 0.1 | 0.4 | 0.3 | 0.2 | 0.3 | 0.4 | 0.4 |
| 员工综合素质 | 0.4 | 0.5 | 0.1 | 0.4 | 0.3 | 0.2 | 0.4 | 0.4 | 0.4 |
| 器材质量 | 0.9 | 0.9 | 0.5 | 0.7 | 0.7 | 0.6 | 0.7 | 0.7 | 0.7 |
| 器材费用 | 0.6 | 0.6 | 0.3 | 0.5 | 0.4 | 0.4 | 0.4 | 0.6 | 0.4 |
| 仓库保障条件 | 0.7 | 0.7 | 0.3 | 0.6 | 0.5 | 0.4 | 0.6 | 0.7 | 0.6 |
| 生产交付能力 | 0.8 | 0.8 | 0.4 | 0.6 | 0.6 | 0.5 | 0.6 | 0.7 | 0.7 |
| 服务水平 | 0.7 | 0.6 | 0.3 | 0.6 | 0.4 | 0.4 | 0.5 | 0.6 | 0.6 |
| 创新能力 | 0.6 | 0.6 | 0.3 | 0.4 | 0.3 | 0.3 | 0.4 | 0.5 | 0.4 |
| 供应安全稳定性 | 0.6 | 0.6 | 0.3 | 0.6 | 0.4 | 0.3 | 0.4 | 0.6 | 0.5 |
表6
其他专家准则层权重"
| 专家 | w1 | w2 | w3 | w4 | w5 | w6 | w7 | w8 | w9 |
| 专家2 | |||||||||
| 专家3 | |||||||||
| 专家4 | |||||||||
| 专家5 | |||||||||
| 专家6 |
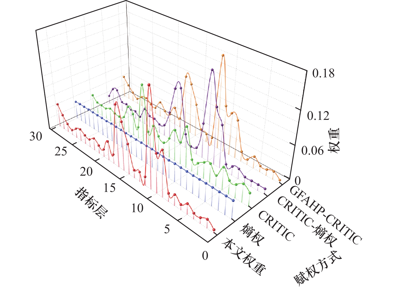
表9
最终指标层权重"
| 指标 | 权重 | 指标 | 权重 | |
表11
不同折衷系数对器材代储工厂选择的影响"
| 折衷系数 | 方案排序 | 折衷方案 | ||||
| 0.0 | 1 | |||||
| 0.1 | ||||||
| 0.2 | ||||||
| 0.3 | ||||||
| 0.4 | ||||||
| 0.5 | ||||||
| 0.6 | ||||||
| 0.7 | ||||||
| 0.8 | ||||||
| 0.9 | ||||||
| 1.0 |
表12
不同赋权方式的器材代储工厂排序"
| 方法 | 工厂 排序方式 | 最优工厂 | ||||
| VIKOR | 0 | |||||
| 熵权-VIKOR | 0 | |||||
| CRITIC-VIKOR | ||||||
| GFAHP-熵权-VIKOR | ||||||
| GFAHP-CRITIC-VIKOR | 0 | |||||
| GFAHP-改进CRITIC-VIKOR(本文方法) |
表13
不同赋权方式评价指标计算结果对比(TOPSIS方法)"
| 方法 | 工厂 排序方式 | 最优工厂 | ||||
| TOPSIS | ||||||
| 熵权-TOPSIS | ||||||
| CRITIC-TOPSIS | ||||||
| GFAHP-熵权-TOPSIS | ||||||
| GFAHP-CRITIC- TOPSIS | ||||||
| GFAHP-改进CRITIC-TOPSIS(本文方法) | 0.278 |
表14
不同选择场景下的器材代储工厂选择结果"
| 选择场景 | 决策方法 | 工厂排序 | 最优工厂 |
| 熵权-VIKOR | |||
| CRITIC-VIKOR | |||
| 器材质量水平优先 | GFAHP-熵权-VIKOR | ||
| GFAHP-CRITIC-VIKOR | |||
| GFAHP-改进CRITIC-VIKOR(本文方法) | |||
| 熵权-VIKOR | |||
| CRITIC-VIKOR | |||
| 器材供应水平优先 | GFAHP-熵权-VIKOR | ||
| GFAHP-CRITIC-VIKOR | |||
| GFAHP-改进CRITIC-VIKOR(本文方法) | |||
| 熵权-VIKOR | |||
| CRITIC-VIKOR | |||
| 器材保障经费优先 | GFAHP-熵权-VIKOR | ||
| GFAHP-CRITIC-VIKOR | |||
| GFAHP-改进CRITIC-VIKOR(本文方法) |
| 1 | LUNDGREN C, BOKRANTZ J, SKOOGH A. Factors influencing maintenance-related investments in industry: a multiple-case study[J]. Journal of Quality in Maintenance Engineering, 2021, 27 (1): 203- 224. |
| 2 |
GOVINDAN K, ADITI, DHINGRA DARBARI J, et al. Structural model for analysis of key performance indicators for sustainable manufacturer-supplier collaboration: a grey-decision-making trial and evaluation laboratory-based approach[J]. Business Strategy and the Environment, 2021, 30 (4): 1702- 1722.
doi: 10.1002/bse.2703 |
| 3 |
ZEYDAN M, ÇOLPAN C, ÇOBANOĞLU C. A combined methodology for supplier selection and performance evaluation[J]. Expert Systems with Applications, 2011, 38 (3): 2741- 2751.
doi: 10.1016/j.eswa.2010.08.064 |
| 4 |
NG W L. An efficient and simple model for multiple criteria supplier selection problem[J]. European Journal of Operational Research, 2008, 186 (3): 1059- 1067.
doi: 10.1016/j.ejor.2007.01.018 |
| 5 | 梁欢. 汽车零部件新开发项目供应商选择的影响因素研究[D]. 南昌: 南昌大学, 2024. |
| LIANG H. Research on the influencing factors of supplier selection for new development projects of automotive parts and components[D]. Nanchang: Nanchang University, 2024. | |
| 6 | WANG Q, WANG J X, LI H, et al. Research on financing efficiency and influencing factors of equipment manufacturing industry—regression model based on SFA panel data[J]. Journal of Intelligent & Fuzzy Systems, 2021, 40 (4): 8117- 8126. |
| 7 |
HO W, XU X, DEY P K. Multi-criteria decision making approaches for supplier evaluation and selection: a literature review[J]. European Journal of Operational Research, 2010, 202 (1): 16- 24.
doi: 10.1016/j.ejor.2009.05.009 |
| 8 |
CUI Z Q, JIA H L, GAO Q, et al. Maintenance spare parts prediction based on multilevel migration learning CNN-ISE-Attention-BiLSTM[J]. IEEE Access, 2024, 12, 15208- 15221.
doi: 10.1109/ACCESS.2024.3357994 |
| 9 |
张亮, 王坚浩, 郑东良, 等. 基于直觉模糊熵和VIKOR的装备器材供应商选优决策[J]. 系统工程与电子技术, 2019, 41 (7): 1568- 1575.
doi: 10.3969/j.issn.1001-506X.2019.07.18 |
|
ZHANG L, WANG J H, ZHENG D L, et al. Optimisation decision of equipment and equipment supplier selection based on intuitionistic fuzzy entropy and VIKOR[J]. Systems Engineering and Electronics, 2019, 41 (7): 1568- 1575.
doi: 10.3969/j.issn.1001-506X.2019.07.18 |
|
| 10 |
QURESHI S A, NASEEM A, AHMAD Y. Outsourcing or in-house manufacturing in Hi-tech industry: supply chain process with Delphi-AHP approach[J]. Kybernetes, 2024, 53 (9): 2799- 2823.
doi: 10.1108/K-08-2022-1172 |
| 11 | YAO Z H, JIANG H. Research on capacities to undertake the automobile manufacturing industry of cities in Hebei Province based on entropy-TOPSIS model[C]//Proc. of the Asia-Pacific Conference on Economics & Finance, 2023: 237−251. |
| 12 | LIU B Y, CHEN T, YANG H D, et al. Supplier evaluation and selection in a sustainable supply chain based on fuzzy-BWM, entropy method and grey relational TOPSIS[J]. Journal of Intelligent & Fuzzy Systems, 2023, 44 (6): 9919- 9932. |
| 13 | RABIEH M, FADAEI RAFSANJANI A, BABAEI L, et al. Sustainable supplier selection and order allocation: an integrated Delphi method, fuzzy TOPSIS and multi-objective programming model[J]. Scientia Iranica, 2019, 26 (4): 2524- 2540. |
| 14 | TRONNEBATI I, JAWAB F, FRICHI Y, et al. Green supplier selection using fuzzy AHP, fuzzy TOSIS, and fuzzy WASPAS: a case study of the moroccan automotive industry[J]. Sustainability, 2024, 16 (11): 4580. |
| 15 | LIN G H, CHUANG C A, TAN C L, et al. Supplier selection criteria using analytical hierarchy process(AHP)-based approach: a study in refractory materials manufacturers[J]. Industrial Management & Data Systems, 2023, 123 (6): 1814- 1839. |
| 16 |
KAYA I, KARAŞAN A, GÜVERCIN Ö, et al. Appraisal of smart factory design for advance manufacturing plants based on transition strategies by using an integrated fuzzy decision-making methodology[J]. International Journal of Computer Integrated Manufacturing, 2023, 36 (8): 1153- 1177.
doi: 10.1080/0951192X.2023.2177735 |
| 17 |
GONG Y, YAN Y, LIU Z, et al. Remanufacturing benefit comprehensive evaluation for an automotive alternator based on the fuzzy analytic hierarchy process[J]. International Journal of Environmental Science and Technology, 2024, 21 (4): 4547- 4564.
doi: 10.1007/s13762-023-05314-9 |
| 18 | ZAVADSKAS E K, TURSKIS Z, STEVIC Z, et al. Modelling procedure for the selection of steel pipes supplier by applying fuzzy AHP method[J]. Operational Research in Engineering Sciences: Theory and Applications, 2020, 3 (2): 39- 53. |
| 19 |
ALTHAQAFI T. Environmental and social factors in supplier assessment: fuzzy-based green supplier selection[J]. Sustainability, 2023, 15 (21): 15643.
doi: 10.3390/su152115643 |
| 20 | MIJALKOVSKI S, STEFANOV V, MIRAKOVSKI D. Application of the TOPSIS method for selecting the location of the main warehouse[J]. Transport & Logistics: the International Journal, 2024, 24(56): 51−58. |
| 21 | 王坚浩, 王龙, 张亮, 等. 灰色群组聚类和改进CRITIC赋权的供应商选择VIKOR多属性决策[J]. 系统工程与电子技术, 2023, 45 (1): 155- 164. |
| WANG J H, WANG L, ZHANG L, et al. Grey cluster clustering and improved CRITIC assignment for supplier selection VIKOR multi-attribute decision making[J]. Systems Engineering and Electronics, 2023, 45 (1): 155- 164. | |
| 22 | United States Department of Defense. The defense acquisition system: DOD directive5000.1[EB/OL]. [2024-05-09]. https://www.defense.gov/Resources/Forms-Directives-Instructions/. |
| 23 |
徐泽水. 模糊互补判断矩阵排序的一种算法[J]. 系统工程学报, 2001, 16 (4): 311- 314.
doi: 10.3969/j.issn.1000-5781.2001.04.012 |
|
XU Z S. An algorithm for ranking fuzzy complementary judgement matrices[J]. Journal of Systems Engineering, 2001, 16 (4): 311- 314.
doi: 10.3969/j.issn.1000-5781.2001.04.012 |
|
| 24 |
何鹏, 王晖, 黎云兵, 等. 军民融合陆军装备维修保障体系能力评估研究[J]. 火力与指挥控制, 2021, 46 (11): 73- 81.
doi: 10.3969/j.issn.1002-0640.2021.11.011 |
|
HE P, WANG H, LI Y B, et al. Research on the capability assessment of military-civilian integration of army equipment maintenance and guarantee system[J]. Fire and Command and Control, 2021, 46 (11): 73- 81.
doi: 10.3969/j.issn.1002-0640.2021.11.011 |
|
| 25 |
何立华, 王栎绮, 张连营. 基于聚类的多属性群决策专家权重确定方法[J]. 运筹与管理, 2014, 23 (6): 65- 72.
doi: 10.3969/j.issn.1007-3221.2014.06.011 |
|
HE L H, WANG L Q, ZHANG L Y. Clustering-based expert weight determination method for multi-attribute group decision-making[J]. Operations Research and Management, 2014, 23 (6): 65- 72.
doi: 10.3969/j.issn.1007-3221.2014.06.011 |
|
| 26 | 李琳, 刘雅奇, 李双刚. 一种群决策专家客观权重确定的改进方法[J]. 运筹与管理, 2011, 20 (8): 77- 81. |
| LI L, LIU Y Q, LI S G. An improved method for determining objective weights of group decision-making experts[J]. Operations Research and Management, 2011, 20 (8): 77- 81. | |
| 27 | ALINEZHAD A, KHALILI J. CRITIC method[M]// New Methods and Applications in Multiple Attribute Decision Making. Berlin: Springer, 2019: 199−203. |
| 28 | KONDA V R, TSITSIKLIS J N. Onactor-critic algorithms[J]. SIAM Journal on Control and Optimization, 2003, 42(4): 1143−1166. |
| 29 | HAN Y G, ZHANG S S, DENG D X. An integrated methodology for commercial concrete supplier selection with intuitionistic fuzzy CPT-VIKOR[J]. Journal of Intelligent & Fuzzy Systems, 2023, 44 (2): 2643- 2654. |
| 30 | RODRIGUEZ A R S C, OLIVEIRA P V D. An extension of systematic layout planning by using fuzzy AHP and fuzzy VIKOR methods: a case study[J]. European Journal of Industrial Engineering, 2022, 16 (1): 1- 30. |
| 31 |
NAFEI A, HUANG C Y, JAVADPOUR A, et al. Neutrosophic fuzzy decision-making using TOPSIS and autocratic methodology for machine selection in an industrial factory[J]. International Journal of Fuzzy Systems, 2024, 26 (3): 860- 886.
doi: 10.1007/s40815-023-01640-9 |
| [1] | 徐天琦, 江文奇, 朱力, 杨珊珊, 王嘉丽. 融合属性关联的DPC-ELECTRE多属性决策方法及应用[J]. 系统工程与电子技术, 2025, 47(1): 202-209. |
| [2] | 彭莉莎, 孙宇祥, 薛宇凡, 周献中. 融合三支多属性决策与SAC的兵棋推演智能决策技术[J]. 系统工程与电子技术, 2024, 46(7): 2310-2322. |
| [3] | 余晓洁, 魏嵩, 盛佳恋, 张磊. 基于HMM的低空目标航迹威胁识别[J]. 系统工程与电子技术, 2023, 45(5): 1399-1408. |
| [4] | 王坚浩, 王龙, 张亮, 崔利杰. 灰色群组聚类和改进CRITIC赋权的供应商选择VIKOR多属性决策[J]. 系统工程与电子技术, 2023, 45(1): 155-164. |
| [5] | 郑诺希, 李武, 周小强, 刘钢. 多属性相似度一致性投影决策法[J]. 系统工程与电子技术, 2022, 44(9): 2869-2877. |
| [6] | 尹东亮, 崔国恒, 黄晓颖, 张欢. 基于改进得分函数和前景理论的区间值毕达哥拉斯模糊多属性决策[J]. 系统工程与电子技术, 2022, 44(11): 3463-3469. |
| [7] | 任耀军, 袁修久, 黄林. q阶三角犹豫模糊BM算子及其多属性决策应用[J]. 系统工程与电子技术, 2022, 44(1): 181-191. |
| [8] | 白静, 陈业华, 石蕊, 张亚明. 基于概率语言赋权交叉熵信度分配的应急决策[J]. 系统工程与电子技术, 2021, 43(2): 476-486. |
| [9] | 李岩, 陈云翔, 罗承昆, 蔡忠义. 基于概率犹豫-直觉模糊熵和证据推理的多属性决策方法[J]. 系统工程与电子技术, 2020, 42(5): 1116-1123. |
| [10] | 陈波, 郭圆圆, 高秀娥, 王运明, 杜秀丽. 区间直觉模糊幂加权算子的动态多属性决策[J]. 系统工程与电子技术, 2019, 41(4): 850-855. |
| [11] | 李贺, 江登英. 基于改进符号距离的犹豫模糊前景理论决策方法[J]. 系统工程与电子技术, 2019, 41(12): 2820-2826. |
| [12] | 汪汝根, 李为民, 罗骁, 吕诚中. 基于新距离测度的直觉模糊VIKOR多属性决策方法[J]. 系统工程与电子技术, 2019, 41(11): 2524-2532. |
| [13] | 孙贵东, 关欣, 衣晓, 赵静. 基于Normative算子的HFS数值延拓方法及多属性决策应用[J]. 系统工程与电子技术, 2018, 40(7): 1530-1538. |
| [14] | 弓晓敏, 于长锐. 基于云模型的改进TODIM方案评价方法[J]. 系统工程与电子技术, 2018, 40(7): 1539-1547. |
| [15] | 谭旭, 吴俊江, 毛太田, 谭跃进. 基于三角模糊数犹豫直觉模糊集的多属性智能决策[J]. 系统工程与电子技术, 2017, 39(4): 829-836. |
| 阅读次数 | ||||||
|
全文 |
|
|||||
|
摘要 |
|
|||||