

系统工程与电子技术 ›› 2025, Vol. 47 ›› Issue (10): 3127-3136.doi: 10.12305/j.issn.1001-506X.2025.10.01
• 电子技术 •
收稿日期:2024-10-22
出版日期:2025-10-25
发布日期:2025-10-23
通讯作者:
李健兵
E-mail:ganlin16@nudt.edu.cn;jianbingli@nudt.edu.cn
作者简介:甘 琳(1999—),女,博士研究生,主要研究方向为新体制雷达、电子对抗基金资助:
Lin GAN(
), Zehao WU, Jianbing LI(
)
Received:2024-10-22
Online:2025-10-25
Published:2025-10-23
Contact:
Jianbing LI
E-mail:ganlin16@nudt.edu.cn;jianbingli@nudt.edu.cn
摘要:
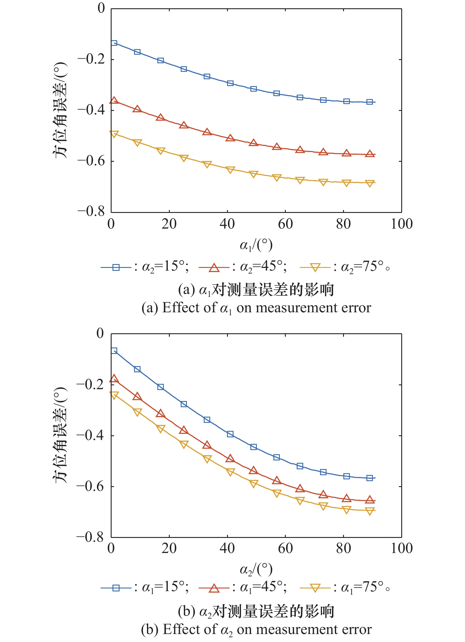
针对飞机躲避单脉冲导引头攻击的需求,提出一种基于级联拖曳式散射调控反射器的无源角闪烁干扰方法。通过电控调制,反射器可以在透射态和反射态之间快速切换,从而产生复杂的角闪烁效应。首先通过构建广义拉格朗日方程分析反射器的运动学特性,然后建立角闪烁干扰的数学模型,最后对转向机动条件下电控反射器对单脉冲导引头的角度干扰效果进行分析。结果表明,利用伪随机信号对反射器进行雷达散射截面调制,可以显著增大导引头的测角误差,误差可达到1.8°以上。所提方法能够有效对抗单脉冲雷达的角度跟踪,可为高价值机动目标提供突防手段。
中图分类号:
甘琳, 吴泽昊, 李健兵. 级联式散射调控反射器的角闪烁效果研究[J]. 系统工程与电子技术, 2025, 47(10): 3127-3136.
Lin GAN, Zehao WU, Jianbing LI. Research on angular blinking effect of cascaded scattering-controlled reflector[J]. Systems Engineering and Electronics, 2025, 47(10): 3127-3136.
| 1 | SHERMAN S M, BARTON D K. Monopulse principles and techniques[M]. 2nd ed. Norwood: Artech House, 2011. |
| 2 | 丁鹭飞, 耿富录, 陈建春. 雷达原理[M]. 北京: 电子工业出版社, 2009: 240−249. |
| DING L F, GENG F L, CHEN J C. Radar principle[M]. Beijing: Electronic Industry Press, 2009. 240−249. | |
| 3 | SCHLEHER D C. Electronic warfare in the information age[M]. Norwood: Artech House, 1999. |
| 4 | 代大海, 王雪松, 李永祯, 等. 交叉极化干扰建模及其欺骗效果分析[J]. 航天电子对抗, 2004, 3, 21- 25. |
| DAI D H, WANG X S, LI Y Z, et al. Modeling and deception effect analysis of the cross-polarization interference[J]. Aerospace Electronic Warfare, 2004, 3, 21- 25. | |
| 5 | WANG H J, DAI H Y, NIE X L, et al. Study on a smart cross-polarization interference method to the polarized integration mono-pulse array radar[J]. IOP Conference Series: Materials Science and Engineering, 2020, 715 (1): 1757- 8981. |
| 6 | 侯民胜, 朱莹, 樊晓明. 单脉冲雷达的闪烁干扰技术研究[J]. 现代电子技术, 2009, 32 (15): 9- 11. |
| HOU M S, ZHU Y, FAN X M. Study on blinking jamming technique for monopulse radar[J]. Modern Electronic Technique, 2009, 32 (15): 9- 11. | |
| 7 | 包磊, 王春阳, 白娟, 等. 双隐身飞机闪烁干扰对单脉冲雷达性能的影响[J]. 系统工程与电子技术, 2020, 42 (3): 589- 596. |
| BAO L, WANG C Y, BAI J, et al. Influence of blinking jamming of dual stealth aircraft on the performance of monopulse radar[J]. Systems Engineering and Electronics, 2020, 42 (3): 589- 596. | |
| 8 | 李潇飞, 付孝龙, 李跃威. 拖曳式诱饵干扰样式分析[J]. 电子信息对抗技术, 2022, 37 (2): 21- 24. |
| LI X F, FU X L, LI Y W. Analysis of towed decoy jamming type[J]. Electronic Information Warfare Technology, 2022, 37 (2): 21- 24. | |
| 9 | 彭哲凡, 范鹏飞, 黄怀玉, 等. 基于波束空间交替投影极大似然的拖曳式诱饵分辨判别方法[J]. 空天预警研究学报, 2024, 38 (1): 24- 30. |
| PENG Z F, FAN P F, HUANG H Y, et al. Towed decoy discrimination method based on beam space alternating projection-maximum likelihood[J]. Journal of Air & Space Early Warning Research, 2024, 38 (1): 24- 30. | |
| 10 | 刘天鹏, 魏玺章, 刘振, 等. 交叉眼干扰研究综述[J]. 雷达学报, 2019, 8 (1): 140- 153. |
| LIU T P, WEI X Z, LIU Z, et al. Overview of cross-eye jamming research[J]. Journal of Radars, 2019, 8 (1): 140- 153. | |
| 11 |
WANG H, WEN A J, TANG J Q, et al. A cross-eye jamming scheme based on microwave photonics and its hardware-in-loop performance investigation[J]. IEEE Trans. on Microwave Theory and Techniques, 2024, 72 (10): 6033- 6043.
doi: 10.1109/TMTT.2024.3464435 |
| 12 | GAO C J, LAI T J, PENG L, et al. Multifunctional intelligent reconfigurable metasurface[J]. ACS Applied Materials & Interfaces, 2024, 16 (41): 55675- 55683. |
| 13 |
YANG Y Y, XIN H X, LIU Y X, et al. Intelligent metasurfaces: integration of artificial intelligence technology and metasurfaces[J]. Chinese Journal of Physics, 2024, 89, 991- 1008.
doi: 10.1016/j.cjph.2024.03.043 |
| 14 | 张磊, 陈晓晴, 郑熠宁, 等. 电磁超表面与信息超表面[J]. 电波科学学报, 2021, 36 (6): 817- 828. |
| ZHANG L, CHEN X Q, ZHENG Y N, et al. Electromagnetic metasurfaces and information metasurfaces[J]. Chinese Journal of Radio Science, 2021, 36 (6): 817- 828. | |
| 15 | 杨欢欢, 曹祥玉, 高军, 等. 可重构电磁超表面及其应用研究进展[J]. 雷达学报, 2021, 10 (2): 206- 219. |
| YANG H H, CAO X Y, GAO J, et al. Recent advances in reconfigurable metasurfaces and their applications[J]. Journal of Radars, 2021, 10 (2): 206- 219. | |
| 16 | 冯德军, 谢前朋, 王俊杰, 等. 对雷达回波的无源电磁调控技术及其发展[J]. 系统工程与电子技术, 2019, 41 (6): 1236- 1241. |
| FENG D J, XIE Q P, WANG J J, et al. Passive electromagnetic manipulation technology to radar echo and its development[J]. Systems Engineering and Electronics, 2019, 41 (6): 1236- 1241. | |
| 17 | SO H, ANDO A, SEKI T, et al. Multiband sector antenna with the same beamwidth employing multiple woodpile metamaterial reflectors[J]. IEICE Trans. on Electronics, 2014, 97 (10): 976- 985. |
| 18 |
CHATTERJEE A, PARUI S K. Beamwidth control of omnidirectional antenna using conformal frequency selective surface of different curvatures[J]. IEEE Trans. on Antennas and Propagation, 2018, 66 (6): 3225- 3230.
doi: 10.1109/TAP.2018.2819899 |
| 19 |
CHATTERJEE A, PARUI S K. Performance enhancement of a dual-band monopole antenna by using a frequency-selective surface based corner reflector[J]. IEEE Trans. on Antennas and Propagation, 2016, 64 (6): 2165- 2171.
doi: 10.1109/TAP.2016.2552543 |
| 20 |
ELZWAWI G H, KESAVAN A, ALWAHISHI R, et al. A new corner-reflector antenna with tunable gain based on active frequency selective surfaces[J]. IEEE Open Journal of Antennas and Propagation, 2020, 1, 88- 94.
doi: 10.1109/OJAP.2020.2979053 |
| 21 | 祝寄徐, 裴志斌, 屈绍波, 等. 一种加载超材料吸波体的新型二面角反射器的设计[J]. 空军工程大学学报(自然科学版), 2013, 14 (6): 85- 88. |
| ZHU J X, PEI Z B, QU S B, et al. A design of a new dihedral corner reflector loaded with meta-material absorbing layer[J]. Journal of Air Force Engineering University, 2013, 14 (6): 85- 88. | |
| 22 |
祝寄徐, 裴志斌, 屈绍波, 等. 一种加载超材料吸波体的新型三面角反射器设计[J]. 电子元件与材料, 2013, 32 (10): 52- 54.
doi: 10.3969/j.issn.1001-2028.2013.10.014 |
|
ZHU J X, PEI Z B, QU S B, et al. Design of novel trihedral corner reflector loaded with meta-material absorbing body[J]. Electronic Components and Materials, 2013, 32 (10): 52- 54.
doi: 10.3969/j.issn.1001-2028.2013.10.014 |
|
| 23 | 张泽奎, 王东红, 雷忆三, 等. 基于超材料的RCS增强器设计[J]. 无线电工程, 2017, 47 (5): 67- 70. |
| ZHANG Z K, WANG D H, LEI Y S, et al. A novel RCS enhancing device based on metamaterial[J]. Radio Engineering, 2017, 47 (5): 67- 70. | |
| 24 | 雷雪, 邹义童, 尚玉平, 等. 基于超表面的钝二面角结构后向散射增强设计[J]. 电子元件与材料, 2019, 38 (8): 99- 105. |
| LEI X, ZOU Y T, SHANG Y P, et al. Backscattering enhancement of an obtuse dihedral corner structure through metasurface[J]. Electronic Components and Materials, 2019, 38 (8): 99- 105. | |
| 25 | 张然, 冯德军, 徐乐涛. 基于Salisbury屏的二面角设计及其极化特性分析[J]. 雷达学报, 2016, 5 (6): 658- 665. |
| ZHANG R, FENG D J, XU L T. Design and polarization characteristics analysis of dihedral based on Salisbury screen[J]. Journal of Radars, 2016, 5 (6): 658- 665. | |
| 26 | 陈强, 陈燕娜, 袁方, 等. 基于对消超表面的角反射器宽带RCS 减缩设计[J]. 电波科学学报, 2023, 38 (6): 989- 996. |
| CHEN Q, CHEN Y N, YUA F, et al. Broadband RCS reduction of corner reflector based on the phase-cancellation metasurface[J]. Chinese Journal of Radio Science, 2023, 38 (6): 989- 996. | |
| 27 |
孙光, 王俊杰, 邢世其, 等. 一种具有宽角域调控的非周期时间调制角反射器设计及其雷达目标特征变换方法[J]. 中国科学(信息科学), 2023, 53 (12): 2543- 2560.
doi: 10.1360/SSI-2023-0018 |
|
SUN G, WANG J J, XING S Q, et al. Design of an aperiodic time-modulated corner reflector with wide angle domain regulation and its radar target feature transformation method[J]. SCIENTIA SINICA Informationis, 2023, 53 (12): 2543- 2560.
doi: 10.1360/SSI-2023-0018 |
|
| 28 | 程燕平, 程邺. MATLAB理论力学[M]. 北京: 高等教育出版社, 2015: 404−409. |
| CHENG Y P, CHENG Y. MATLAB theoretical mechanics[M]. Beijing: Higher Education Press, 2015: 404−409. | |
| 29 |
GAN L, SUN G, FENG D J, et al. Characteristics of an eight-quadrant corner reflector involving a reconfigurable active metasurface[J]. Sensors, 2022, 22 (13): 4715.
doi: 10.3390/s22134715 |
| 30 | 张中南, 童幼堂, 张卫峰. 比例导引法导引弹道仿真研究[J]. 战术导弹技术, 2005, (2): 56- 59. |
| ZHANG Z N, TONG Y T, ZHANG W F. Research on the proportional guidance trajectory simulation[J]. Tactical Missile Technology, 2005, (2): 56- 59. |
| [1] | 韩静雯, 杨勇, 连静, 吴国庆, 王雪松. 基于极化与距离像特征融合的雷达导引头角反射器鉴别方法[J]. 系统工程与电子技术, 2024, 46(11): 3658-3670. |
| [2] | 周亮, 孟进, 刘永才, 李伟, 杨浩楠. 基于非脉冲矢量网络分析仪的非反向交叉眼干扰实验设计与分析[J]. 系统工程与电子技术, 2024, 46(1): 62-70. |
| [3] | 黄倩兰, 蔡飞, 范红旗, 肖怀铁. 密集假信号存在下单脉冲雷达未分辨目标DOA估计[J]. 系统工程与电子技术, 2023, 45(9): 2727-2734. |
| [4] | 李郝亮, 陈思伟, 王雪松. 海面角反射器的极化旋转域特性研究[J]. 系统工程与电子技术, 2022, 44(7): 2065-2073. |
| [5] | 刘业民, 李永祯, 黄大通, 庞晨. 基于极化单脉冲雷达扩展目标角度估计方法[J]. 系统工程与电子技术, 2021, 43(6): 1497-1505. |
| [6] | 阮锋, 卢夏雷, 郭亮, 李亚超. 基于超材料天线的超分辨关联成像的改进[J]. 系统工程与电子技术, 2021, 43(12): 3510-3517. |
| [7] | 包磊, 王春阳, 白娟, 曾会勇. 双隐身飞机闪烁干扰对单脉冲雷达性能的影响[J]. 系统工程与电子技术, 2020, 42(3): 589-596. |
| [8] | 包磊, 王春阳, 李洪兵, 谭铭, 王宜进. 远距离支援干扰下双隐身飞机自卫相参干扰对单脉冲雷达影响[J]. 系统工程与电子技术, 2019, 41(9): 1973-1983. |
| [9] | 冯德军, 谢前朋, 王俊杰, 刘蕾. 对雷达回波的无源电磁调控技术及其发展[J]. 系统工程与电子技术, 2019, 41(6): 1236-1241. |
| [10] | 刘伟, 孟进, 周亮, 吴灏. 矩形阵反向交叉眼干扰建模[J]. 系统工程与电子技术, 2019, 41(11): 2453-2459. |
| [11] | 刘业民, 邢世其, 李永祯, 孙豆, 王雪松. 基于极化单脉冲雷达的角度估计方法[J]. 系统工程与电子技术, 2018, 40(8): 1713-1719. |
| [12] | 周阳, 毕大平, 沈爱国. 对SAR-GMTI的大区域遮蔽有源-无源协同干扰方法[J]. 系统工程与电子技术, 2018, 40(5): 1004-1011. |
| [13] | 欧阳志宏, 沈阳, 李修和. 基于干扰机组网主瓣干扰的单脉冲雷达航迹欺骗干扰技术[J]. 系统工程与电子技术, 2018, 40(1): 80-85. |
| [14] | 黄孟俊, 陈建军, 赵宏钟, 付强. 海面角反射器干扰微多普勒建模与仿真[J]. Journal of Systems Engineering and Electronics, 2012, 34(9): 1781-1787. |
| [15] | 位寅生, 杨思亮. 单脉冲雷达扫描方式分析与仿真[J]. Journal of Systems Engineering and Electronics, 2011, 33(2): 468-472. |
| 阅读次数 | ||||||
|
全文 |
|
|||||
|
摘要 |
|
|||||