

系统工程与电子技术 ›› 2024, Vol. 46 ›› Issue (3): 1048-1057.doi: 10.12305/j.issn.1001-506X.2024.03.31
王涵巍1,2, 张嘉城1,2, 朱阅訸1,2,*
收稿日期:2022-10-24
									
				
									
				
									
				
											出版日期:2024-02-29
									
				
											发布日期:2024-03-08
									
			通讯作者:
					朱阅訸
												作者简介:王涵巍(1999—), 男, 博士研究生, 主要研究方向为航天器轨迹优化基金资助:Hanwei WANG1,2, Jiacheng ZHANG1,2, Yuehe ZHU1,2,*
Received:2022-10-24
									
				
									
				
									
				
											Online:2024-02-29
									
				
											Published:2024-03-08
									
			Contact:
					Yuehe ZHU   
												摘要:
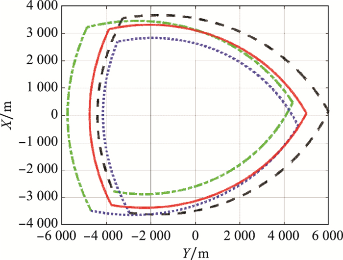
针对编队卫星的空间在轨服务任务, 提出一种多类载荷异构星群的协同操作方案。首先, 考虑星间自主通信, 建立了由一颗主故障识别的观测卫星和多颗主维修补给的操作卫星构成的编队系统。其次, 提出一种基于循环交替策略的多星协同轨迹规划方法, 并基于差分进化算法优化了星群轨迹。最后, 结合算例仿真, 分析了系统内各成员卫星在编队控制过程中所需的脉冲大小以及编队系统整体的安全性能。仿真结果表明, 异构编队系统可快速规划出安全性较高、鲁棒性较强的在轨服务轨迹, 具有一定的工程应用价值。
中图分类号:
王涵巍, 张嘉城, 朱阅訸. 异构编队卫星近距离操作轨迹规划方法[J]. 系统工程与电子技术, 2024, 46(3): 1048-1057.
Hanwei WANG, Jiacheng ZHANG, Yuehe ZHU. A trajectory planning method for proximity operations of heterogeneous formation satellites[J]. Systems Engineering and Electronics, 2024, 46(3): 1048-1057.
| 1 | 黄攀峰, 常海涛, 鹿振宇, 等. 面向在轨服务的可重构细胞卫星关键技术与展望[J]. 宇航学报, 2016, 37 (1): 1- 10. | 
| HUANG P F , CHANG H T , LU Z Y , et al. Key techniques of on-orbit service-oriented reconfigurable ceilularized satellite and its prospects[J]. Journal of Astronautics, 2016, 37 (1): 1- 10. | |
| 2 |  
											   TRUSZKOWSKI W F ,  HINCHEY M G ,  RASH J L , et al.  Autonomous and autonomic systems: a paradigm for future space exploration missions[J]. IEEE Trans. on Systems, Man and Cybernetics, Part C, 2006, 36 (3): 279- 291. 
											 												 doi: 10.1109/TSMCC.2006.871600  | 
										
| 3 |  
											   LI W J ,  CHENG D Y ,  LIU X G , et al.  On-orbit service (OOS) of spacecraft: a review of engineering developments[J]. Progress in Aerospace Sciences, 2019, 108, 32- 120. 
											 												 doi: 10.1016/j.paerosci.2019.01.004  | 
										
| 4 |  
											   HATTY I .  Viability of on-orbit servicing spacecraft to prolong the operational life of satellites[J]. Journal of Space Safety Engineering, 2022, 9 (2): 263- 268. 
											 												 doi: 10.1016/j.jsse.2022.02.011  | 
										
| 5 |  
											   HABLANI H B ,  TAPPER M L ,  DANA-BASHIAN D J .  Gui-dance and relative navigation for autonomous rendezvous in a circular orbit[J]. Journal of Guidance, Control, and Dynamics, 2002, 25 (3): 553- 562. 
											 												 doi: 10.2514/2.4916  | 
										
| 6 |  
											   ZHANG R ,  HAN C ,  RAO Y R , et al.  Spacecraft fast fly-around formations design using the bi-teardrop configuration[J]. Journal of Guidance, Control, and Dynamics, 2018, 41 (7): 1542- 1555. 
											 												 doi: 10.2514/1.G003236  | 
										
| 7 | 李学辉, 宋申民. 慢旋非合作目标快速绕飞避碰控制[J]. 控制与决策, 2018, 33 (9): 1612- 1618. | 
| LI X H , SONG S M . Slowly rotating non-cooperative target fast fly-around collision avoidance control[J]. Control and Decision, 2018, 33 (9): 1612- 1618. | |
| 8 | 陶佳伟, 张涛. 具有预设性能的近距离星间相对姿轨耦合控制[J]. 系统工程与电子技术, 2019, 41 (5): 1103- 1109. | 
| TAO J W , ZHANG T . Coupled control of relative position and attitude for spacecraft proximity operations with prescribed performance[J]. Systems Engineering and Electronics, 2019, 41 (5): 1103- 1109. | |
| 9 |  
											   SUN Z J ,  LUO Y Z ,  NIU Z Y .  Spacecraft rendezvous trajectory safety quantitative performance index eliminating probability dilution[J]. Science China Technological Sciences, 2014, 57 (6): 1219- 1228. 
											 												 doi: 10.1007/s11431-014-5523-3  | 
										
| 10 |  
											   LUO Y Z ,  SUN Z J ,  ZHANG J .  Proximity scenario design for geostationary rendezvous with collocated satellite avoidance[J]. Acta Astronautica, 2019, 154, 153- 168. 
											 												 doi: 10.1016/j.actaastro.2018.11.004  | 
										
| 11 | DANG Z H , FAN L , WANG Z K , et al. On the maximal and minimal distances of flying-around satellite formation[J]. Aircraft Engineering and Aerospace Technology, 2017, 89 (9): 845- 852. | 
| 12 |  
											   HU Z L ,  YANG J Y .  Distributed optimal formation algorithm for multi-satellites system with time-varying performance function[J]. International Journal of Control, 2020, 93 (5): 1015- 1026. 
											 												 doi: 10.1080/00207179.2018.1486512  | 
										
| 13 |  
											   CHEN A J ,  REN J D ,  WANG Z H , et al.  Optimal satellite formation reconfiguration based on the uncertainty and distur-bance estimator[J]. Advances in Space Research, 2022, 70 (7): 2013- 2020. 
											 												 doi: 10.1016/j.asr.2022.06.050  | 
										
| 14 | ALEJANDRO M M , FRANCESCA S , CAMILLA C . Manoeuvre planning algorithm for satellite formations using mean relative orbital elements[J]. Advances in Space Research, 2022, 71 (1): 585- 603. | 
| 15 |  
											   PARENTE D ,  SPILLER ,  D ,  CURTI F .  Time-suboptimal sate-llite formation maneuvers using inverse dynamics and differen-tial evolution[J]. Journal of Guidance, Control, and Dyna-mics, 2018, 41 (5): 1108- 1121. 
											 												 doi: 10.2514/1.G003110  | 
										
| 16 | 严冰, 张进, 罗亚中. 面向编队卫星的空间系绳在轨服务[J]. 系统工程与电子技术, 2021, 43 (3): 806- 813. | 
| YAN B , ZHANG J , LUO Y Z . On-orbit service for formation satellites with space tether[J]. Systems Engineering and Electronics, 2021, 43 (3): 806- 813. | |
| 17 |  
											   LEE D ,  SANYAL A K ,  BUTCHER E A , et al.  Asymptotic tracking control for spacecraft formation flying with decentra-lized collision avoidance[J]. Journal of Guidance, Control, and Dynamics, 2015, 38 (4): 587- 600. 
											 												 doi: 10.2514/1.G000101  | 
										
| 18 | 李思远, 叶东, 孙兆伟. 考虑通信延迟的卫星集群改进蜂拥控制[J]. 宇航学报, 2022, 43 (8): 1097- 1108. | 
| LI S Y , YE D , SUN Z W . Improved flocking control for sate-llite cluster with communication delays[J]. Journal of Astronautics, 2022, 43 (8): 1097- 1108. | |
| 19 | HAO Z W , YUE X K , WEN H W , et al. Full-state-constrained non-certainty-equivalent adaptive control for satellite swarm subject to input fault[J]. Journal of Automatica Sinica, 2022, 9 (3): 482- 495. | 
| 20 | 徐影, 张进. 旋转目标的多星协同近距离姿轨耦合控制[J]. 动力学与控制学报, 2021, 19 (2): 22- 31. | 
| XU Y , ZHANG J . Attitude-orbit coupling method for multisatellite collaborative proximity control of rotating target[J]. Journal of Dynamics and Control, 2021, 19 (2): 22- 31. | |
| 21 |  
											   BENNETT T ,  SCHAUB H ,  ROSCOE C W T .  Faster-than-natural spacecraft circumnavigation via way points[J]. Acta Astronautica, 2016, 123, 376- 386. 
											 												 doi: 10.1016/j.actaastro.2016.01.025  | 
										
| 22 |  
											   AHMED M O ,  DAE-KWAN K .  Real-time fuel optimization and guidance for spacecraft rendezvous and docking[J]. Aerospace, 2022, 9 (5): 276- 293. 
											 												 doi: 10.3390/aerospace9050276  | 
										
| 23 |  
											   SHAMIL B ,  GLEB B ,  DMITRY P .  Satellite formation flying for space advertising: from technically feasible to economically viable[J]. Aerospace, 2022, 9 (8): 419- 445. 
											 												 doi: 10.3390/aerospace9080419  | 
										
| 24 |  
											   BIKTIMIROV S ,  IVANOV D ,  PRITYKIN D .  A satellite formation to display pixel images from the sky: mission design and control algorithms[J]. Advances in Space Research, 2022, 69 (11): 4026- 4044. 
											 												 doi: 10.1016/j.asr.2022.03.018  | 
										
| 25 |  
											   STORN R ,  PRICE K V .  Differential evolution—a simple and efficient heuristic for global optimization over continuous spaces[J]. Journal of Global Optimization, 1997, 11 (4): 341- 359. 
											 												 doi: 10.1023/A:1008202821328  | 
										
| 26 | 张冉, 殷建丰, 韩潮. 航天器受迫绕飞构型设计与控制[J]. 北京航空航天大学学报, 2017, 43 (10): 2030- 2039. | 
| ZHANG R , YIN J F , HAN C . Spacecraft forced fly-around formation design and control[J]. Journal of Beijing University of Aeronautics and Astronsutics, 2017, 43 (10): 2030- 2039. | |
| 27 |  
											   HANCHEOL C .  Energy-optimal reconfiguration of satellite formation flying in the presence of uncertainties[J]. Advances in Space Research, 2021, 67 (5): 1454- 1467. 
											 												 doi: 10.1016/j.asr.2020.11.036  | 
										
| 28 |  
											   SARNO S ,  GUO J ,  D'ERRICO M , et al.  A guidance approach to satellite formation reconfiguration based on convex optimization and genetic algorithms[J]. Advances in Space Research, 2020, 65 (8): 2003- 2017. 
											 												 doi: 10.1016/j.asr.2020.01.033  | 
										
| 29 | CASTRO-PALACIO J C , ISIDRO J M , NAVARRO-PARDO E , et al. Monte carlo simulation of a modified chi distribution with unequal variances in the generating Gaussians: a discrete methodology to study collective response times[J]. Mathematics, 2021, 9 (1): 77. | 
| 30 |  
											   YI B ,  GU D F ,  CHANG X , et al.  Integrating BDS and GPS for precise relative orbit determination of LEO formation flying[J]. Chinese Journal of Aeronautics, 2018, 31 (10): 2013- 2022. 
											 												 doi: 10.1016/j.cja.2018.06.001  | 
										
| 31 |  
											   CORY T F ,  STEVE U .  Adaptive extended Kalman filtering strategies for spacecraft formation relative navigation[J]. Acta Astronautica, 2021, 178, 700- 721. 
											 												 doi: 10.1016/j.actaastro.2020.10.016  | 
										
| [1] | 尹帅, 余建慧, 宋斌, 郭延宁, 李传江, 吕跃勇. 基于多种群混沌遗传算法的GEO目标服务任务规划[J]. 系统工程与电子技术, 2024, 46(3): 914-921. | 
| [2] | 隆雨佟, 陈爱国, 史红权, 曾黎. 基于改进差分进化算法的跨平台武器目标分配方法[J]. 系统工程与电子技术, 2024, 46(3): 953-962. | 
| [3] | 邓勇, 姚锋, 邢立宁, 何磊. 基于混合进化算法的卫星网络星间数传方法[J]. 系统工程与电子技术, 2023, 45(9): 2931-2940. | 
| [4] | 孙田野, 孙伟, 吴建军. 改进Quatre算法的无人机编队快速集结方法[J]. 系统工程与电子技术, 2022, 44(9): 2840-2848. | 
| [5] | 谭目来, 丁达理, 谢磊, 丁维, 吕丞辉. 基于模糊专家系统与IDE算法的UCAV逃逸机动决策[J]. 系统工程与电子技术, 2022, 44(6): 1984-1993. | 
| [6] | 唐军奎, 刘峥, 谢荣, 曾波. MIMO雷达稀疏阵列优化设计方法[J]. 系统工程与电子技术, 2022, 44(12): 3661-3666. | 
| [7] | 汪瀚洋, 陈亮, 徐海, 白景波. 基于MOEA/D-ARMS的无人机在线航迹规划[J]. 系统工程与电子技术, 2022, 44(11): 3505-3514. | 
| [8] | 陈云翔, 饶益, 蔡忠义, 王泽洲. 基于改进相似性的装备部件剩余寿命预测及经济性储备策略[J]. 系统工程与电子技术, 2021, 43(9): 2688-2696. | 
| [9] | 吴文海, 郭晓峰, 周思羽, 高丽. 基于随机邻域策略和广义反向学习的自适应差分进化算法[J]. 系统工程与电子技术, 2021, 43(7): 1928-1942. | 
| [10] | 吴文海, 郭晓峰, 周思羽, 高丽. 改进差分进化算法求解武器目标分配问题[J]. 系统工程与电子技术, 2021, 43(4): 1012-1021. | 
| [11] | 严冰, 张进, 罗亚中. 面向编队卫星的空间系绳在轨服务[J]. 系统工程与电子技术, 2021, 43(3): 806-813. | 
| [12] | 刘庆国, 刘新学, 武健, 李亚雄, 陈豪. 基于改进NSGA-Ⅲ的多SGSW火力分配优化[J]. 系统工程与电子技术, 2020, 42(9): 1995-2002. | 
| [13] | 魏蓝, 李威, 单家元. 稀薄流区的多弹协同编队构型生成策略设计[J]. 系统工程与电子技术, 2020, 42(8): 1812-1819. | 
| [14] | 余敏建, 嵇慧明, 韩其松, 毕伟. 基于合作协同进化的多机空战目标分配[J]. 系统工程与电子技术, 2020, 42(6): 1290-1300. | 
| [15] | 马武彬, 王锐, 王威超, 吴亚辉, 邓苏, 黄宏斌. 基于进化多目标优化的微服务组合部署与调度策略[J]. 系统工程与电子技术, 2020, 42(1): 90-100. | 
| 阅读次数 | ||||||
| 
												        	全文 | 
											        	
												        	 | 
													|||||
| 
												        	摘要 | 
												        
															 | 
													|||||