系统工程与电子技术 ›› 2026, Vol. 48 ›› Issue (2): 669-683.doi: 10.12305/j.issn.1001-506X.2026.02.27

• 制导、导航与控制 • 上一篇    下一篇

空地异构无人系统固定时间事件触发编队包含控制

乔毅涛, 李爽   

  1. 南京航空航天大学航天学院,江苏 南京 211106
  • 收稿日期:2024-10-09 修回日期:2024-11-25 出版日期:2025-01-02 发布日期:2025-01-02
  • 通讯作者: 李爽
  • 作者简介:乔毅涛(1996—),男,博士研究生,主要研究方向为多智能体协同控制、事件驱动控制
  • 基金资助:
    空间智能控制技术全国重点实验室开放基金(HTKJ2024KL502001, HTKJ2024KL502006);南京航空航天大学博士学位论文创新与创优基金(BCXJ23-14)资助课题

Fixed-time event-triggered formation containment control for air-ground heterogeneous unmanned system

Yitao QIAO, Shuang LI   

  1. College of Astronautics,Nanjing University of Aeronautics and Astronautics,Nanjing 211106,China
  • Received:2024-10-09 Revised:2024-11-25 Online:2025-01-02 Published:2025-01-02
  • Contact: Shuang LI

摘要:

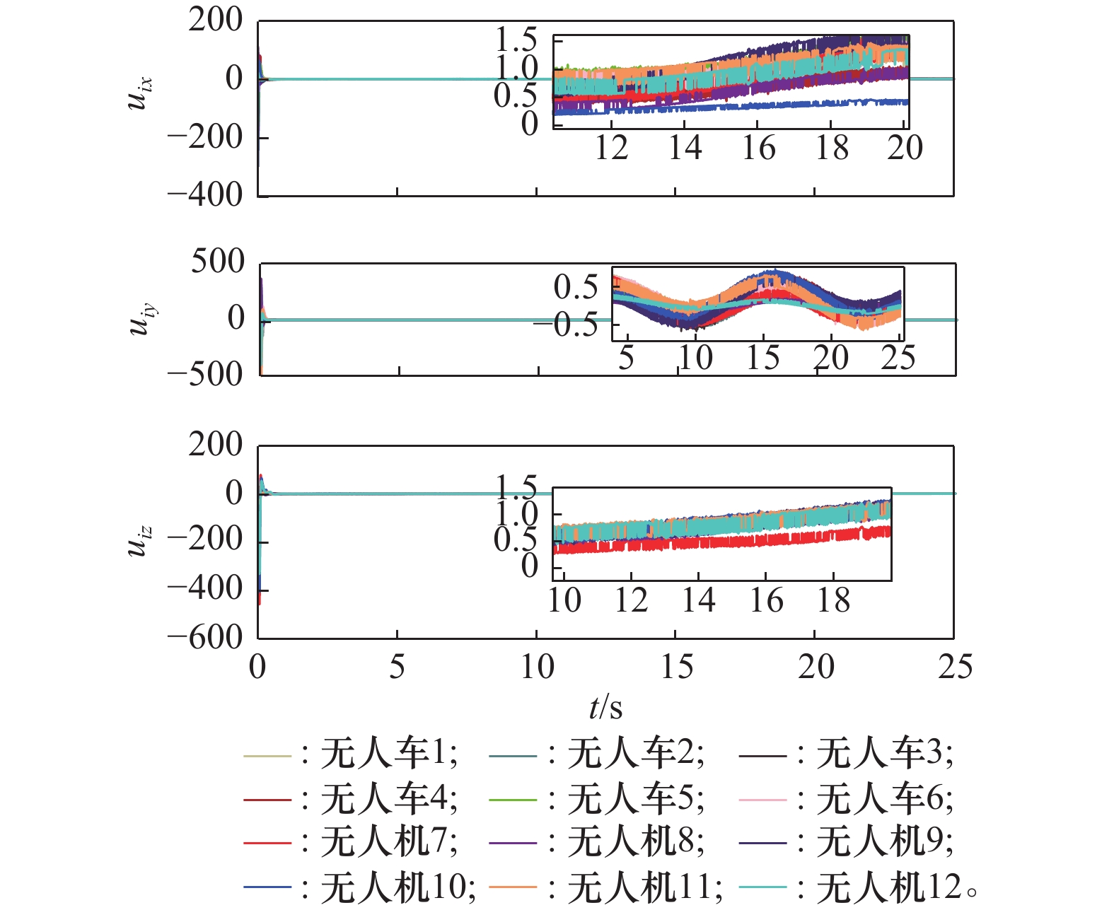
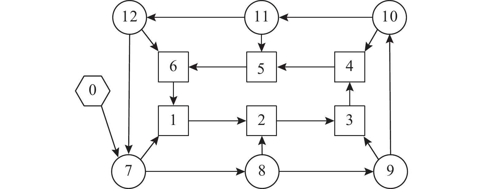
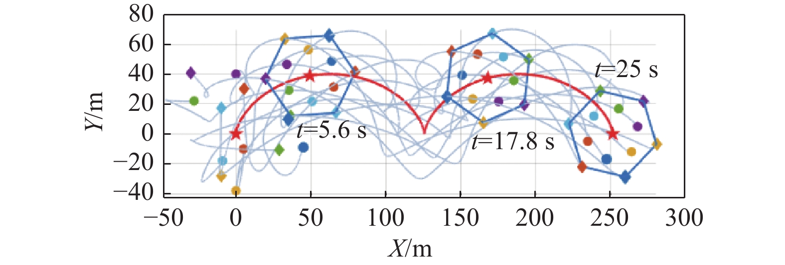
针对以多无人机和多无人车组成的空地异构无人系统协同运动控制问题,基于事件触发通信策略,提出一种扰动条件下快速收敛的固定时间时变编队包含控制算法。首先,依据空地协同任务类型,将系统期望轨迹、多无人机和多无人车分别定义为三维追踪-领航者、三维编队-领导者以及二维跟随者。然后,基于系统各对象变量维度将其进行集群分组,根据分组集群变量维度在状态空间为整个空地系统构建兼容自由度差异特性的数学模型。接着,在空中层为三维编队-领导者设计分布式固定时间事件触发观测器来观测三维追踪-领航者的信息并基于观测信息为其设计固定时间编队控制器。最后在地面层为二维跟随者设计分布式固定时间事件触发凸包观测器来估计多个三维编队-领导者张成的凸包并为其设计固定时间编队包含控制器。理论分析表明,相比于传统固定时间编队控制算法的估计收敛时间上界,本文提出的固定时间编队控制算法保守性更低,其上界更接近系统队形真实的收敛时间。最后通过设置对比仿真验证了该说法。

关键词: 无人机-无人车系统, 时变编队包含控制, 事件触发通信, 分布式协同观测, 固定时间稳定收敛

Abstract:

To address the problem of the collaborative motion control problem for air-ground heterogeneous unmanned system composed of multi-unmanned aerial vehicle (UAV) and multi-unmanned ground vehicle (UGV), based on an event-triggered communication strategy, a fast fixed-time time-varying formation containment control algorithm with disturbances is proposed. Firstly, according to air-ground collaborative mission types, the system desired trajectory, multi-UAV, and multi-UGV are defined as three-dimensional (3-D) tracking navigator, 3-D formation leader, and two-dimensional (2-D) follower, respectively. Then, the system is divided into two subgroups based on the state variable dimensions of each individual, and a unified mathematical model that characterizes the different degrees of freedom is established in the state space for the whole system according to the subgroup variable dimensions. Next, a distributed fixed-time event-triggered observer is developed for the 3-D formation leader to observe the information of the 3-D tracking navigator and a fixed-time formation controller for them based on the observation information. Furthermore, a distributed fixed-time event-triggered convex hull observer is proposed for the 2-D follower to estimate the convex hulls spanned by the 3-D formation leader, and a fixed-time formation containment controller is designed for all 2-D follower. Theoretical analysis indicates that, compared to the upper bound of the estimated time in traditional fixed-time cooperative control algorithms, the fixed-time formation control algorithm proposed in this paper exhibits lower conservatism, with its upper bound being closer to the actual convergence time of the system formation. Finally, this claim is verified through comparative simulation experiments.

Key words: unmanned aerial vehicle(UAV)-unmanned ground vehicle(UGV) system, time-varying formation containment control, event-triggered communication, distributed collaborative observation, fixed-time stability convergence

中图分类号: